Notice regarding Section 508 of the Workforce Investment Act of 1998. Section 508 of the Workforce Investment Act of 1998 requires all United States Federal Agencies with websites to make them accessible to individuals with disabilities. At this time, the MPEP files below do not meet all standards for web accessibility. Until changes can be made to make them fully accessible to individuals with disabilities, the USPTO is providing access assistance via telephone. MPEP Interim Accessibility Contact: 571-272-8813.

browse before

201.06(d) 37 CFR 1.53(d) Continued Prosecution Application (CPA) Practice [R-5] - 200 Types, Cross-Noting, and Status of Application

201.06(d) 37 CFR 1.53(d) Continued Prosecution Application (CPA) Practice [R-5]

37 CFR 1.53 Application number, filing date, and completion of application.

*****

(d) Application filing requirements - Continued prosecution (nonprovisional) application.

(1) A continuation or divisional application (but not a continuation-in-part) of a prior nonprovisional application may be filed as a continued prosecution application under this paragraph, provided that:

(i) The application is for a design patent:

(ii) The prior nonprovisional application is a design application that is complete as defined by §  1.51(b); and

(ii) The application under this paragraph is filed before the earliest of:

(A) Payment of the issue fee on the prior application, unless a petition under §  1.313(c) is granted in the prior application;

(B) Abandonment of the prior application; or

(C) Termination of proceedings on the prior application.

(2) The filing date of a continued prosecution application is the date on which a request on a separate paper for an application under this paragraph is filed. An application filed under this paragraph:

(i) Must identify the prior application;

(ii) Discloses and claims only subject matter disclosed in the prior application;

(iii) Names as inventors the same inventors named in the prior application on the date the application under this paragraph was filed, except as provided in paragraph (d)(4) of this section;

(iv) Includes the request for an application under this paragraph, will utilize the file jacket and contents of the prior application, including the specification, drawings and oath or declaration from the prior application, to constitute the new application, and will be assigned the application number of the prior application for identification purposes; and

(v) Is a request to expressly abandon the prior application as of the filing date of the request for an application under this paragraph.

(3) The filing fee, search fee, and examination fee for a continued prosecution application filed under this paragraph are the basic filing fee as set forth in § 1.16(b), the search fee as set forth in § 1.16 (l), and the examination fee as set forth in §  1.16(p).

(4) An application filed under this paragraph may be filed by fewer than all the inventors named in the prior application, provided that the request for an application under this paragraph when filed is accompanied by a statement requesting deletion of the name or names of the person or persons who are not inventors of the invention being claimed in the new application. No person may be named as an inventor in an application filed under this paragraph who was not named as an inventor in the prior application on the date the application under this paragraph was filed, except by way of correction of inventorship under §  1.48.

(5) Any new change must be made in the form of an amendment to the prior application as it existed prior to the filing of an application under this paragraph. No amendment in an application under this paragraph (a continued prosecution application) may introduce new matter or matter that would have been new matter in the prior application. Any new specification filed with the request for an application under this paragraph will not be considered part of the original application papers, but will be treated as a substitute specification in accordance with § 1.125.

(6) The filing of a continued prosecution application under this paragraph will be construed to include a waiver of confidentiality by the applicant under 35 U.S.C. 122 to the extent that any member of the public, who is entitled under the provisions of § 1.14 to access to, copies of, or information concerning either the prior application or any continuing application filed under the provisions of this paragraph, may be given similar access to, copies of, or similar information concerning the other application or applications in the file jacket.

(7) A request for an application under this paragraph is the specific reference required by 35 U.S.C. 120 to every application assigned the application number identified in such request. No amendment in an application under this paragraph may delete this specific reference to any prior application.

(8) In addition to identifying the application number of the prior application, applicant should furnish in the request for an application under this paragraph the following information relating to the prior application to the best of his or her ability:

(i) Title of invention;

(ii) Name of applicant(s); and

(iii) Correspondence address.

(9) **See § 1.103(b) for requesting a limited suspension of action in an application filed under this paragraph.

*****


I.    CPA PRACTICE HAS BEEN ELIMINATED AS TO UTILITY AND PLANT APPLICATIONS

Effective July 14, 2003, continued prosecution application (CPA) practice has been eliminated as to utility and plant applications. Applicants who wish to continue examination of the same claimed invention after the prosecution of a utility or plant application is closed should consider filing a request for continued examination (RCE) under 37 CFR 1.114. For more information on RCE practice, see MPEP § 706.07(h). Applicants who wish to file a continuation, divisional, or continuation-in-part application should file an application under 37 CFR 1.53(b). See MPEP § 201.06(c). CPAs filed prior to July 14, 2003 will continue to be processed and examined under the procedures set forth in prior 37 CFR 1.53(d). Any request for a CPA filed on or after July 14, 2003 in a utility or plant application is improper, regardless of the filing date of the utility or plant application in which the CPA is filed.

The Office will not convert an improper CPA into an application under 37 CFR 1.53(b) unless the applicant shows that there are extenuating circumstances that warrant the burdensome process of such conversion.

If an examiner discovers that an improper or incomplete CPA has been processed as a proper CPA in error, the examiner should immediately notify a supervisory applications examiner (SAE) or other technical support staff within the Technology Center (TC) who will reprocess the CPA and correct the application records as appropriate.

A.    Applications Filed on or After June 8, 1995

If a utility or plant application has a filing date on or after June 8, 1995, an improper CPA filed on or after July 14, 2003 will be treated as a request for continued examination (RCE) under 37 CFR 1.114. See MPEP § 706.07(h) and form paragraph 7.42.15. If the improper CPA does not satisfy the requirements of 37 CFR 1.114 (e.g., the request lacks a submission or the fee under 37 CFR 1.17(e), or the prosecution of the application is not closed), the Office will treat the improper CPA as an improper RCE, and the time period set in the last Office action (or notice) will continue to run. The Office will send the applicant a Notice of Improper Request for Continued Examination (RCE), PTO-2051. If the time period for reply to the last Office action (or notice) has expired, the application is abandoned and the applicant must file a petition under 37 CFR 1.137 and the required petition fee to revive the abandoned application. Unless prosecution in the application was not closed, the petition must be accompanied by a submission as defined by 37 CFR 1.114(c) and the fee set forth in 37 CFR 1.17(e), unless previously filed. If the last Office action is a notice of allowance, the issue fee must also be paid at the time of filing the petition to revive. If prosecution in the application was not closed, the petition must be accompanied by a reply to the non-final Office action.

Applicants cannot, as a matter of right, obtain continued examination on claims that are independent and distinct from the invention previously claimed (i.e., applicants cannot switch inventions when filing an RCE). See 37 CFR 1.145. Therefore, if applicants file a request for a divisional CPA on or after July 14, 2003 and the request satisfies all the requirements in 37 CFR 1.114 (e.g., the request is accompanied by the fee as set forth in 37 CFR 1.17(e) and a submission), the Office will treat the improper divisional CPA as a proper RCE. However, any amendment canceling all claims drawn to the elected invention and presenting only claims drawn to the nonelected invention will be treated as nonresponsive. See MPEP § 821.03. Any newly submitted claims that are directed to an invention distinct from and independent of the invention previously claimed will be withdrawn from consideration. Applicants should be notified by using form paragraph 8.26 or 8.27.

B.    Applications Filed Before June 8, 1995

If a utility or plant application has a filing date before June 8, 1995, the Office cannot treat an improper CPA filed on or after July 14, 2003 as an RCE because RCE practice does not apply to applications filed before June 8, 1995. The Office will notify the applicant of the improper CPA by mailing a Notice of Improper CPA (or FWC) Filing For Utility or Plant Applications Filed Before June 8, 1995, PTO-2011 (Rev. 7/03 or later). The time period for reply set in the last Office action (or notice) will continue to run. Applicant may file a continuing application under 37 CFR 1.53(b). If the time period for reply has expired, the application is abandoned. If the application in which the improper CPA is filed is abandoned when a continuing application is filed, applicant would need to file a petition under 37 CFR 37 CFR 1.137 to revive the prior application to establish copendency with the continuing application under 37 CFR 1.53(b).

II.    FILING AND INITIAL PROCESSING OF CPAs FOR DESIGN APPLICATIONS

A.    In General

In addition to the provisions of 37 CFR 1.53(b), a continuation or divisional (but not a continuation-in-part) application may be filed under 37 CFR 1.53(d) if the prior application is a design application that is complete as defined by 37 CFR 1.51(b). A continuation or divisional application filed under 37 CFR 1.53(d) is called a "Continued Prosecution Application" or "CPA." A CPA has a number of advantages compared to a continuation or divisional application filed under 37 CFR 1.53(b). For example, the papers required to be filed in the U.S. Patent and Trademark Office in order to secure a filing date under 37 CFR 1.53(d) are minimal compared to 37 CFR 1.53(b). In addition, the Office will not normally issue a new filing receipt for a CPA. See 37 CFR 1.54(b). The time delay between the filing date and the first Office action should be less for a CPA than for an application filed under 37 CFR 1.53(b). For examination priority purposes only, the USPTO will treat continuation CPAs as if they were "amended" applications (as of the CPA filing date) and not as "new" applications. This treatment is limited to CPAs in which the prior application has an Office action issued by the examiner. If no Office action has been issued in the prior application, the CPA will be treated, for examination purposes, like a "new" application unless a petition to make special under 37 CFR 1.102 or a request for expedited examination under 37 CFR 1.155 is filed in the CPA. As "amended" applications generally have a shorter time frame for being acted on by examiners than "new" applications, the treatment of a CPA as an "amended" application will result in a first Office action being mailed in the CPA much sooner than if it had been filed as a continuation application under 37 CFR 1.53(b) (or under former 37 CFR 1.60 or 1.62). Therefore, applicants are strongly encouraged to file any preliminary amendment in a CPA at the time the CPA is filed. See 37 CFR 1.115 and MPEP §  714.03(a).

A request for a CPA expressly abandons the prior application as of the filing date of the request for the CPA. See 37 CFR 1.53(d)(2)(v). Therefore, where the prior application is not to be abandoned, any continuation or divisional application must be filed under 37 CFR 1.53(b). If applicant wants the USPTO to disregard a previously filed request for a CPA filed in a design application (and not recognize its inherent request to expressly abandon the prior application) and to treat the paper as the filing of an application under 37 CFR 1.53(b), the applicant must file a petition under 37 CFR 1.182. A request to expressly abandon an application is not effective until the abandonment is acknowledged, including the express abandonment of the prior application of a CPA that occurs by operation of 37 CFR 1.53(d)(2)(v). The express abandonment of the prior application is acknowledged and becomes effective upon processing and entry of the CPA into the file of the prior application. Thus, such a petition under 37 CFR 1.182 should be filed expeditiously since the petition will not be granted once the request for a CPA has been entered into the prior application (and the inherent request to expressly abandon the prior application has been acknowledged). If the request for a CPA has been entered into the prior application by the time the petition under 37 CFR 1.182 and the application file are before the deciding official for a decision on the petition, the petition will be denied. It is noted, however, that if the applicant intended to file a second application (either a continuation or a divisional) without abandoning the prior application, applicant can still achieve that result without loss of the benefit of the original filing date by: (A) continuing the prosecution of the original application via the CPA; and (B) filing a new continuation/divisional under 37 CFR 1.53(b) claiming benefit of the CPA and its parent applications under 35 U.S.C. 120 during the pendency of the CPA.

Since no new matter may be introduced in a CPA, the procedure set forth in 37 CFR 1.53(d) is not available for filing a continuation-in-part application. All continuation-in-part applications must be filed under 37 CFR 1.53(b) and a newly executed oath or declaration is required.

Under the CPA procedure, the continuation or divisional application will utilize the file wrapper and contents of the prior nonprovisional application, including the specification, drawings and oath or declaration from the prior nonprovisional application, and will be assigned the same application number as the prior nonprovisional application. Any changes to the continuation or divisional application desired when filing the CPA must be made in the form of an amendment to the prior application as it existed prior to filing the CPA, see 37 CFR 1.53(d)(5). Any new specification filed with the CPA request will not be considered part of the original application papers, but will be treated as a substitute specification in accordance with 37 CFR 1.125. However, the applicant must comply with the requirements of 37 CFR 1.125(b) before the substitute specification will be entered into the CPA. Since 37 CFR 1.125(b) requires that a substitute specification be accompanied by, inter alia, a statement that the substitute specification includes no new matter, any substitute specification containing new matter will be denied entry by the examiner. Any preliminary amendment to the written description and claims, other than a substitute specification, filed with a CPA request will ordinarily be entered. Any new matter which is entered, however, will be required to be canceled pursuant to 35 U.S.C. 132 from the descriptive portion of the specification. Further, any claim(s) which relies upon such new matter for support will be rejected under 35 U.S.C. 112, first paragraph. See MPEP § 2163.06. In the event that a substitute specification or preliminary amendment containing new matter was filed with a request for a CPA, applicant may file a petition under 37 CFR 1.182 requesting that the substitute specification or preliminary amendment be removed from the CPA application file, and be accorded the status as a separate application by being placed in a new file wrapper and assigned a new application number, with the new application being accorded a filing date as of the date the request for a CPA and substitute specification/preliminary amendment were filed. Of course, a request for a CPA is not improper simply because the request is accompanied by a substitute specification or preliminary amendment containing new matter. Thus, an applicant will not be entitled to a refund of the filing fee paid in a proper CPA as a result of the granting of a petition under 37 CFR 1.182 requesting that the substitute specification or preliminary amendment be removed from the CPA application file.

A CPA may be based on a prior CPA so long as the prior CPA is complete under 37 CFR 1.51(b) and is a design application. There is no other limit to the number of CPAs that may be filed in a chain of continuing applications. However, only one CPA may be pending at one time based on the same prior nonprovisional application.

Under 37 CFR 1.53(d), the specification, claims, and drawings, and any amendments entered in the prior nonprovisional application are used in the CPA. A new basic filing fee, search fee, and examination fee are required in accordance with 35 U.S.C. 41 and 37 CFR 1.16. No search and examination fees are required for a CPA filed before December 8, 2004. The only other statutory requirement under 35 U.S.C. 111(a) is a signed oath or declaration. Since a CPA cannot contain new matter, the oath or declaration filed in the prior nonprovisional application would supply all the information required under the statute and rules to have a complete application and to obtain a filing date. Accordingly, the previously filed oath or declaration will be considered to be the oath or declaration of the CPA.

The original disclosure of a CPA is the same as the original disclosure of the parent non-continued prosecution application and amendments entered in the parent application(s). However, any subject matter added by amendment in the parent application which is deemed to be new matter in the parent application will also be considered new matter in the CPA. No amendment filed in a CPA, even if filed on the filing date of the CPA, may include new matter.

If application papers for a design application are in any way designated as a CPA filing under 37 CFR 1.53(d) (e.g., contain a reference to 37 CFR 1.53(d), CPA, or continued prosecution application), the application papers will be treated by the Office as a CPA filed under 37 CFR 1.53(d), even if the application papers also contain other inconsistent designations (e.g., if the papers are also designated as an application filed under 37 CFR 1.53(b) or include a reference to a "continuation-in-part CPA"). If application papers for a utility or plant application are in any way designated as a CPA filing under 37 CFR 1.53(d), the application papers will be treated as a request for continued examination (RCE) under 37 CFR 1.114. See I. CPA PRACTICE HAS BEEN ELIMINATED AS TO UTILITY AND PLANT APPLICATIONS, above.

B.    Conditions for Filing a CPA

A continuation or divisional application may be filed under 37 CFR 1.53(d), if the prior nonprovisional application is a design application that is complete as defined by 37 CFR 1.51(b). The term "prior nonprovisional application" in 37 CFR 1.53(d)(1) means the nonprovisional application immediately prior to the CPA. A complete application as defined by 37 CFR 1.51(b) must contain, inter alia, the appropriate filing fee (including the basic filing fee, search fee, and examination fee) and a signed oath or declaration under 37 CFR 1.63.

In addition, a continuation or divisional application filed under 37 CFR 1.53(d) must be filed before the earliest of: (A) payment of the issue fee on the prior application, unless a petition under 37 CFR 1.313(c) is granted in the prior application; (B) abandonment of the prior application; or (C) termination of proceedings on the prior application.

Note that request for continued examination (RCE) practice under 37 CFR 1.114 is not available in design applications. Any improper RCE filed in a design application will not be treated as a CPA. An improper RCE filed in a design application will not toll the running of any time period for reply.

C.    Initial Processing

A CPA request will be initially processed by the TC assigned the prior application. The TC will verify that (A) the prior application is a design application, (B) the correct application number of the prior nonprovisional application is identified in the request, (C) the request is properly signed, (D) the prior nonprovisional application was pending on, and that the issue fee has not been paid in the prior nonprovisional application on or prior to, the filing date of the CPA request, (E) the prior nonprovisional application was complete under 37 CFR 1.51(b) (e.g., the filing fee has been paid and a signed oath or declaration under 37 CFR 1.63 has been filed in the prior application), and (F) the proper filing fee has been paid in the CPA. If one or more other conditions for filing a CPA have not been satisfied or the proper basic filing fee, search fee, and examination fee have not been paid, the applicant will be so notified and no examination will be made in the CPA until the filing error has been corrected or the proper fees have been submitted. See 37 CFR 1.53(h). If an examiner discovers that an improper or incomplete CPA has been processed as a proper CPA in error, the examiner should immediately notify a supervisory applications examiner (SAE) or other technical support staff within the TC who will reprocess the CPA and correct the application records.

D.    Incorrect Patent Application Number Identified

A request for a CPA must identify the prior nonprovisional application ( 37 CFR 1.53(d)(2)(i)) by application number (series code and serial number) or by serial number and filing date. Where a paper requesting a CPA is filed which does not properly identify the prior nonprovisional application number, the TC should attempt to identify the proper application number by reference to other identifying information provided in the CPA papers, e.g., name of the inventor, filing date, title of the invention, and attorney's docket number of the prior application. If the TC is able to identify the correct application number of the prior application, the correct application number should be entered in red ink on the paper requesting the CPA and the entry should be dated and initialed. For Image File Wrapper (IFW) processing, see IFW Manual. If the TC is unable to identify the application number of the prior application and the party submitting the CPA papers is a registered practitioner, the practitioner may be requested by telephone to supply a letter signed by the practitioner providing the correct application number. If all attempts to obtain the correct application number are unsuccessful, the paper requesting the CPA should be returned by the TC to the sender where a return address is available. The returned CPA request must be accompanied by a cover letter which will indicate to the sender that if the returned CPA request is resubmitted to the U.S. Patent and Trademark Office with the correct application number within two weeks of the mail date on the cover letter, the original date of receipt of the CPA request will be considered by the U.S. Patent and Trademark Office as the date of receipt of the CPA request. See 37 CFR 1.5(a). A copy of the returned CPA request and a copy of the date-stamped cover letter should be retained by the TC. Applicants may use either the Certificate of Mailing or Transmission procedure under 37 CFR 1.8 or the "Express Mail" procedure under 37 CFR 1.10 for resubmissions of returned CPA requests if they desire to have the benefit of the date of deposit in the United States Postal Service. If the returned CPA request is not resubmitted within the two-week period with the correct application number, the TC should cancel the original "Office Date" stamp on the CPA request and re-stamp the returned CPA request with the date of receipt of the resubmission or with the date of deposit as "Express Mail" with the United States Postal Service, if the CPA request is resubmitted under 37 CFR 1.10. Where the CPA request is resubmitted later than two weeks after the return mailing by the U.S. Patent and Trademark Office, the later date of receipt or date of deposit as "Express Mail" of the resubmission will be considered to be the filing date of the CPA request. The two-week period to resubmit the returned CPA request is not extendible. See 37 CFR 1.5(a).

In addition to identifying the application number of the prior application, applicant is urged to furnish in the request for a CPA the following information relating to the prior application to the best of his or her ability: (A) title of invention; (B) name of applicant(s); and (C) correspondence address. See 37 CFR 1.53(d)(8).

E.    Signature Requirement

A CPA is a request to expressly abandon the prior application ( 37 CFR 1.53(d)(2)(v)) and, therefore, must be properly signed. For a listing of the individuals who may properly sign a CPA request, see 37 CFR 1.33(b). In a joint application with no attorney or agent, all applicants must sign the CPA request in order for the CPA request to be considered properly signed. An unsigned or improperly signed CPA request will be placed in the file of the prior application, and is entitled to an application filing date, but is ineffective to abandon the prior application. A CPA will NOT be examined until the CPA request is properly signed.

A request for a CPA may be signed by a registered practitioner acting in a representative capacity under 37 CFR 1.34. However, correspondence concerning the CPA will be sent by the Office to the correspondence address as it appears in the prior nonprovisional application until a new power of attorney, or change of correspondence address signed by an attorney or agent of record in the prior application, is filed in the CPA.

A request for a CPA may also be signed by the assignee or assignees of the entire interest. However, the request must be accompanied by papers establishing the assignee"s ownership under 37 CFR 3.73(b), unless such papers were filed in the prior application and ownership has not changed.

F.    Filing Date

The filing date of a CPA is the date on which a request on a separate paper for a CPA is filed. A request for a CPA cannot be submitted as a part of papers filed for another purpose, see 37 CFR 1.53(d)(2), (e.g., the filing of a request for a CPA within an amendment after final for the prior application is an improper request for a CPA).

A paper requesting a CPA may be sent to the U.S. Patent and Trademark Office by mail (see MPEP § 501), by facsimile transmission (see MPEP § 502.01) or it may be filed directly at the Customer Service Window located in the Randolph Building, 401 Dulany Street, Alexandria, VA 22314.

The date of receipt accorded to a CPA request sent by facsimile transmission is the date the complete transmission is received by an Office facsimile unit, unless the transmission is completed on a Saturday, Sunday, or Federal holiday within the District of Columbia. Correspondence for which transmission was completed on a Saturday, Sunday, or Federal holiday within the District of Columbia, will be accorded a receipt date of the next succeeding day which is not a Saturday, Sunday, or Federal holiday within the District of Columbia.

Applicants filing a CPA by facsimile transmission may include a "Receipt for Facsimile Transmitted CPA" (PTO/SB/29A) containing a mailing address and identifying information (e.g., the prior application number, filing date, title, first named inventor) with the request for a CPA. The USPTO will: (A) separate the "Receipt for Facsimile Transmitted CPA" from the CPA request papers; (B) date-stamp the "Receipt for Facsimile Transmitted CPA"; (C) verify that the identifying information provided by the applicant on the "Receipt for Facsimile Transmitted CPA" is the same information provided on the accompanying request for a CPA; and (D) mail the "Receipt for Facsimile Transmitted CPA" to the mailing address provided on the "Receipt for Facsimile Transmitted CPA." The "Receipt for Facsimile Transmitted CPA" cannot be used to acknowledge receipt of any paper(s) other than the request for a CPA. A returned "Receipt for Facsimile Transmitted CPA" may be used as prima facie evidence that a request for a CPA containing the identifying information provided on the "Receipt for Facsimile Transmitted CPA" was filed by facsimile transmission on the date stamped thereon by the USPTO. As the USPTO will verify only the identifying information contained on the request for a CPA, and will not verify whether the CPA was accompanied by other papers (e.g., a preliminary amendment), the "Receipt for Facsimile Transmitted CPA" cannot be used as evidence that papers other than a CPA were filed by facsimile transmission in the USPTO. Likewise, applicant-created "receipts" for acknowledgment of facsimile transmitted papers (whether created for the acknowledgment of a CPA or other papers) cannot be used as evidence that papers were filed by facsimile in the USPTO. Applicants are cautioned not to include information on a "Receipt for Facsimile Transmitted CPA" that is intended for retention in the application file, as the USPTO does not plan on retaining a copy of such receipts in the file of the application.

If an applicant filing a CPA by facsimile does not include an authorization to charge the basic filing fee, search fee, and examination fee to a deposit account or to a credit card using PTO-2038 (See MPEP § 509), the application will be treated under 37 CFR 1.53(f) as having been filed without the appropriate fees (as fees cannot otherwise be transmitted by facsimile).

37 CFR 1.6(f) provides for the situation in which the Office has no evidence of receipt of a CPA transmitted to the Office by facsimile transmission. 37 CFR 1.6(f) requires that a showing thereunder include, inter alia, a copy of the sending unit's report confirming transmission of the application or evidence that came into being after the complete transmission of the application and within one business day of the complete transmission of the application.

The Certificate of Mailing Procedure under 37 CFR 1.8 does not apply to filing a request for a CPA, since the filing of such a request is considered to be a filing of national application papers for the purpose of obtaining an application filing date ( 37 CFR 1.8(a)(2)(i)(A)). Thus, if (A) the Patent and Trademark Office mails a final Office action on July 2, 1997 (Wednesday), with a shortened statutory period of 3 months to reply and (B) a petition for a three-month extension of time (and the fee) and a CPA are received in the U.S. Patent and Trademark Office on January 5, 1998 (Monday), accompanied by a certificate of mailing under 37 CFR 1.8 dated January 2, 1998 (Friday), then the prior application was abandoned on January 3, 1998, and the CPA is improper because the CPA was not filed before the abandonment of the prior application. As a further example, if (A) the U.S. Patent and Trademark Office mails a final Office action on July 2, 1997 (Wednesday), with a shortened statutory period of 3 months to reply and (B) applicant submits a petition for a three-month extension of time (and the fee) and a CPA request via facsimile transmission accompanied by a certificate of transmission under 37 CFR 1.8 at 9:00 PM (PST) on January 2, 1998 (Friday), but the U.S. Patent and Trademark Office does not receive the complete transmission until 12:01 AM (EST) on January 3, 1998 (Saturday), then the CPA is improper because the CPA request was not filed until January 5, 1998, see 37 CFR 1.6(a)(3), which is after the abandonment (midnight on Friday, January 2, 1998) of the prior application.

G.    Filing Fee

The filing fees for a CPA are the basic filing fee as set forth in 37 CFR 1.16(b)(1), the search fee as set forth in 37 CFR 1.16(l), and the examination fee as set forth in 37 CFR 1.16(p). See 37 CFR 1.53(d)(3).

A general authorization to charge fees to a deposit account which was filed in the prior application carries over from the prior nonprovisional application to a CPA. Thus, where a general authorization to charge fees to a deposit account was filed in the prior application the TC should charge the necessary filing fee of the CPA to the deposit account.

Where a general authorization to charge fees to a deposit account was filed in the prior application and applicant desires to file a CPA without paying the filing fee on the filing date of the application, applicant may file the CPA with specific instructions revoking the general authorization filed in the prior application.

Where a filing date has been assigned to a CPA, but the basic filing fee, search fee, and examination fee are insufficient or have been omitted, applicant will be so notified by the TC and given a period of time in which to file the missing fee(s) and to pay the surcharge set forth in 37 CFR 1.16(f) in order to prevent abandonment of the application. For CPAs filed on or after December 8, 2004 but prior to July 1, 2005, which have been accorded a filing date under 37 CFR 1.53(d), if the search and/or examination fees are paid on a date later than the filing date of the application, the surcharge under 37 CFR 1.16(f) is not required. For CPAs filed on or after July 1, 2005, which have been accorded a filing date under 37 CFR 1.53(d), if any of the basic filing fee, search fee, or examination fee are paid on a date later than the filing date of the CPA, the surcharge under 37 CFR 1.16(f) is required. The time period usually set is 2 months from the date of notification. This time period is subject to the provisions of 37 CFR 1.136(a). A CPA will not be placed upon the files for examination until all of its required parts, including the basic filing fee, search fee, examination fee, and any necessary surcharge, are received. See 37 CFR 1.53(h). Thus, it would be inappropriate to conduct an interview or to issue an action on the merits in the CPA until the basic filing fee, search fee, examination fee, and any necessary surcharge, are received.

Small Entity Status

Small entity status established in the parent application does not automatically carry over to a CPA. Status as a small entity must be specifically established in every application in which the status is available and desired. 37 CFR 1.27(c)(4) provides that the refiling of an application as a continued prosecution application under 37 CFR 1.53(d) requires a new assertion of continued entitlement to small entity status.

Because small entity status does not automatically carry over from the prior application to the CPA, unless the request for a CPA specifically indicates that the filing fee is to be charged in the small entity amount or otherwise includes an assertion of entitlement to small entity status, the large entity filing fee should be charged.

H.    Extensions of Time

If an extension of time is necessary to establish continuity between the prior application and the CPA, the petition for extension of time should be filed as a separate paper directed to the prior nonprovisional application. However, a CPA is not improper simply because the request for a CPA is combined in a single paper with a petition for extension of time. The "separate paper" requirement of 37 CFR 1.53(d)(2) is intended to preclude an applicant from burying a request for a CPA in a paper submitted primarily for another purpose, e.g., within an amendment after final for the prior application.

While the filing of a CPA is not strictly a reply to an Office action mailed in a prior application, a request for a CPA is a paper directed to and placed in the file of the prior application, and seeks to take action in (i.e., expressly abandon) the prior application. Thus, it will be considered a "reply" for purposes of 37 CFR 1.136(a)(3). As a result, an authorization in the prior application to charge all required fees, fees under 37 CFR 1.17, or all required extension of time fees to a deposit account or to a credit card (See MPEP § 509) will be treated as a constructive petition for an extension of time in the prior application for the purpose of establishing continuity with the CPA. The correct extension fee to be charged in the prior application would be the extension fee necessary to establish continuity between the prior application and the CPA on the filing date of the CPA.

If an extension of time directed to the prior application is filed as a separate paper, it must be accompanied by its own certificate of mailing under 37 CFR 1.8 (if mailed by first class mail) or under 37 CFR 1.10 (if mailed by Express Mail), if the benefits of those rules are desired.

I.    Notice of CPA Filing

Since a "Notice of Abandonment" is not mailed in the prior application as a result of the filing of a CPA nor is a filing receipt normally mailed for a CPA, the examiner should advise the applicant that a request for a CPA has been granted by including form paragraph 2.30 in the first Office action of the CPA.

¶ 2.30 CPA Status Acceptable (for Design Applications)

The request filed on [1] for a Continued Prosecution Application (CPA) under 37 CFR 1.53(d) based on parent Application No. [2] is acceptable and a CPA has been established. An action on the CPA follows.

Examiner Note

1. Use this form paragraph in the first Office action of a CPA to advise the applicant that a request for a CPA is acceptable and that a CPA has been established. This notice should be given, since applicant is not notified of the abandonment of the parent nor is a filing receipt normally sent for a CPA. If the request for a CPA in a utility or plant application is improper and the CPA has been treated as an RCE, do not use this form paragraph (use form paragraph 7.42.15 instead). See MPEP § 706.07(h).

2. In bracket 1 insert the filing date of the request for a CPA.

3. In bracket 2 insert the Application Number of the parent application.

A "conditional" request for a CPA will not be permitted. Any "conditional" request for a CPA submitted as a separate paper with an amendment after final in an application will be treated as an unconditional request for a CPA of the application. This will result (by operation of 37 CFR 1.53(d)(2)(v)) in the abandonment of the prior application, and (if so instructed in the request for a CPA) the amendment after final in the prior application will be treated as a preliminary amendment in the CPA. The examiner should advise the applicant that a "conditional" request for a CPA has been treated as an unconditional request for a CPA and has been accepted by including form paragraph 2.35 in the first Office action of the CPA.

¶ 2.35 CPA Status Acceptable - Conditional Request (for Design Applications)

Receipt is acknowledged of the "conditional" request for a Continued Prosecution Application (CPA) filed on [1] under 37 CFR 1.53(d) based on prior Application No. [2]. Any "conditional" request for a CPA submitted as a separate paper is treated as an unconditional request for a CPA. Accordingly, the request for a CPA application is acceptable and a CPA has been established. An action on the CPA follows.

Examiner Note

1. Use this form paragraph in the first Office action of a CPA to advise the applicant that a "conditional" request for a CPA is treated as an unconditional request and the CPA is acceptable and that a CPA has been established. This notice should be given, since applicant is not notified of the abandonment of the parent nor is a filing receipt normally sent for a CPA. If the request for a CPA in a utility or plant application is improper and the CPA has been treated as an RCE, do not use this form paragraph (use form paragraph 7.42.15 instead). See MPEP § 706.07(h).

2. In bracket 1 insert the filing date of the request for a CPA.

3. In bracket 2 insert the Application Number identified in the CPA request.

Where the examiner recognizes that a paper filed in the prior application contains a request for a CPA, but the request is not in a separate paper, the examiner should, if possible, contact applicant by telephone to notify applicant that the request for a CPA is ineffective or notify the applicant in the next Office action that the CPA request is ineffective by using form paragraph 2.31.

¶ 2.31 CPA Status Not Acceptable - Request Not on Separate Paper (for Design Applications)

Receipt is acknowledged of the request for a Continued Prosecution Application (CPA) filed on [1] under 37 CFR 1.53(d) based on Application No. [2]. However, because the request was not submitted on a separate paper as required by 37 CFR 1.53(d)(2), the request is not acceptable and no CPA has been established.

Examiner Note

1. Use this form paragraph to inform applicant that a request for a CPA in a design application is not in compliance with 37 CFR 1.53(d)(2) and, therefore, no CPA has been established.

2. In bracket 1 insert the filing date of the paper containing the request for a CPA.

3. In bracket 2 insert the Application Number identified in the CPA request.

J.    Inventorship

The inventive entity set forth in the prior nonprovisional application automatically carries over into the CPA UNLESS the request for a CPA is accompanied by or includes on filing a statement requesting the deletion of the name or names of the person or persons who are not inventors of the invention being claimed in the CPA. 37 CFR 1.53(d)(4). The statement requesting the deletion of the names of the person or persons who are not inventors in the continuation or divisional application must be signed by person(s) authorized pursuant to 37 CFR 1.33(b) to sign an amendment in the continuation or divisional application. The examiner should acknowledge receipt of a statement filed with a CPA requesting the deletion of the name or names of the person or persons who are not inventors of the invention being claimed in the CPA in the first Office action in the CPA by using form paragraph 2.32.

¶ 2.32 Request To Delete a Named Inventor

Receipt is acknowledged of the statement requesting that [1] be deleted as a named inventor which was filed with the Continued Prosecution Application (CPA) on [2]. The inventorship has been corrected as requested.

Examiner Note

1. Use this form paragraph where a Continued Prosecution Application (CPA) is filed accompanied by a statement requesting deletion of the name or names of the person or persons who are not inventors of the invention being claimed in the new application. Any request to delete a named inventor in a CPA filed after the CPA is filed must be accompanied by a request under 37 CFR 1.48.

2. In bracket 1 insert the name or names of the inventor(s) requested to be deleted.

3. In bracket 2 insert the filing date of the CPA.

After the first Office action is mailed, the application file should be sent to OIPE for revision of its records to reflect the change of inventorship. For paper application files, the examiner should note the change of inventorship on the original oath or declaration by writing in red ink in the left column "See Paper No. __ for inventorship changes." See MPEP § 201.03 and § 605.04(g). For Image File Wrapper (IFW) processing, see the IFW Manual. Any request by applicant for a corrected filing receipt to show the change in inventorship should not be submitted until after the examiner has acknowledged the change in inventorship in an Office action. Otherwise, the "corrected" filing receipt may not show the change in inventorship.

The inventive entity of the CPA will be the same as the inventive entity of the prior application even if the CPA papers include a transmittal letter or a new oath or declaration naming an inventor not named in the prior application. However, the new oath or declaration will be placed in the application file. Upon review of the application, the examiner will notify the applicant in the first Office action using form paragraph 2.33 that the inventive entity of the prior application has been carried over into the CPA. If the inventive entity set forth in the transmittal letter of the new oath or declaration is desired, then a request under 37 CFR 1.48 along with the required fee set forth in 37 CFR 1.17(i) must be filed. No new oath or declaration need be filed with the later-filed request under 37 CFR 1.48 if such was submitted on filing of the CPA. If a request under 37 CFR 1.48 is not filed, it should be noted that the filing in a CPA of a transmittal letter or a new oath or declaration containing an inventor not named in the prior nonprovisional application may result in the claims in the CPA being rejected under 35 U.S.C. 102(f).

¶ 2.33 New Inventor Identified

It is noted that [1] identified as a named inventor in the Continued Prosecution Application (CPA) filed under 37 CFR 1.53(d) on [2], but no request under 37 CFR 1.48, as is required, was filed to correct the inventorship. Any request to add an inventor must be in the form of a request under 37 CFR 1.48. Otherwise, the inventorship in the CPA shall be the same as in the prior application.

Examiner Note

1. Use this form paragraph where a request for a Continued Prosecution Application (CPA) identifies one or more inventors who were not named as inventors in the prior application on the filing date of the CPA.

2. In bracket 1 insert the name or names of the inventor(s) requested to be added followed by either --was-- or --were--, as appropriate.

3. In bracket 2 insert the filing date of the CPA.

III.    EXAMINATION OF CPAs

A.    Benefit of Earlier Filing Date

A request for a CPA is a specific reference under  35 U.S.C. 120 to every application assigned the application number identified in the request, and 37 CFR 1.78(a)(2) provides that a request for a CPA is the specific reference under 35 U.S.C. 120 to the prior application. That is, the CPA includes the request for an application under 37 CFR 1.53(d) and the recitation of the application number of the prior application in such request is the "specific reference to the earlier filed application" required by 35 U.S.C. 120. No further amendment to the specification of the CPA nor a reference in the CPA's application data sheet is required by 35 U.S.C. 120 or 37 CFR 1.78(a) to identify or reference the prior application, as well as any other application assigned the application number of the prior application (e.g., in instances in which a CPA is the last in a chain of CPAs).

Where an application claims a benefit under 35 U.S.C. 120 of a chain of applications, the application must make a reference to the first (earliest) application and every intermediate application. See Sampson v. Ampex Corp., 463 F.2d 1042, 1044-45, 174 USPQ 417, 418-19 (2d Cir. 1972); Sticker Indus. Supply Corp. v. Blaw-Knox Co., 405 F.2d 90, 93, 160 USPQ 177, 179 (7th Cir. 1968); Hovlid v. Asari, 305 F.2d 747, 751, 134 USPQ 162, 165 (9th Cir. 1962). See also MPEP § 201.11. In addition, every intermediate application must also make a reference to the first (earliest) application and every application after the first application and before such intermediate application.

In the situation in which there is a chain of CPAs, each CPA in the chain will, by operation of 37 CFR 1.53(d)(7), contain the required specific reference to its immediate prior application, as well as every other application assigned the application number identified in such request. Put simply, a specific reference to a CPA by application number and filing date will constitute a specific reference to: (A) the non-continued prosecution application originally assigned such application number (the prior application as to the first CPA in the chain); and (B) every CPA assigned the application number of such non-continued prosecution application.

Where the non-continued prosecution application originally assigned such application number itself claims the benefit of a prior application or applications under 35 U.S.C. 119(e), 120, 121, or 365(c), 37 CFR 1.78(a)(2) and (a)(5) continue to require that such application contain a reference to any such prior application(s). The reference(s) can be in an application data sheet ( 37 CFR 1.76) or in the first sentence(s) of the specification. See 37 CFR 1.78(a)(2) and (a)(5). As a CPA uses the application file of the prior application, a specific reference in the prior application (as to the CPA) will constitute a specific reference in the CPA, as well as every CPA in the event that there is a chain of CPAs.

Where an applicant in an application filed under 37 CFR 1.53(b) seeks to claim the benefit of a CPA under 35 U.S.C. 120 or 121 (as a continuation, divisional, or continuation-in-part), 37 CFR 1.78(a)(2) requires a reference to the CPA by application number in the first sentence(s) of such application unless such reference is made in an application data sheet. 37 CFR 1.78(a)(2) provides that "[t]he identification of an application by application number under this section is the specific reference required by 35 U.S.C. 120 to every application assigned that application number." Thus, where a referenced CPA is in a chain of CPAs, this reference will constitute a reference under 35 U.S.C. 120 and 37 CFR 1.78(a)(2) to every CPA in the chain as well as the non-continued prosecution application originally assigned such application number.

Therefore, regardless of whether an application is filed under 37 CFR 1.53(b) or (d), a claim under 35 U.S.C. 120 to the benefit of a CPA is, by operation of 37 CFR 1.53(d)(7) and 37 CFR 1.78(a)(2), a claim to every application assigned the application number of such CPA. In addition, applicants will not be permitted to choose to delete such a claim as to certain applications assigned that application number (e.g., for patent term purposes). See 37 CFR 1.53(d)(7).

Further, an applicant in a CPA is not permitted to amend the first sentence(s) of the specification to provide the specific reference to the prior application, or to provide such a reference in an application data sheet. Any such amendment will not be entered. The applicant should be advised in the next Office action that any such amendment to the specification or reference in the application data sheet has not been entered by using form paragraph 2.34. See 37 CFR 1.78(a)(2).

¶ 2.34 Reference in CPA to Prior Application (by Amendment to the Specification)

The amendment filed [1] requesting that the specification be amended to refer to the present Continued Prosecution Application (CPA) as a [2] application of Application No. [3] has not been entered. As set forth in 37 CFR 1.53(d)(7), a request for a CPA is the specific reference required by 35 U.S.C. 120 to every application assigned the application number identified in such request. Thus, there is no need to amend the first sentence(s) of the specification to refer back to the prior application and any such amendment shall be denied entry.

Examiner Note

1. Use this form paragraph to inform the applicant that an amendment to the first sentence(s) of the specification referring to the CPA as a continuing application of the prior application has not been entered and will not be entered if submitted again.

2. In bracket 1, insert the filing date of the amendment.

3. In bracket 2, insert either --continuation-- or --divisional--.

4. In bracket 3, insert the Application Number of the prior nonprovisional application.

Claims under 35 U.S.C. 119(a)-(d) and (e) for the benefit of the filing dates of earlier applications in a parent application will automatically carry over to a CPA.

B.    Terminal Disclaimer

A terminal disclaimer filed in the parent application carries over to a CPA. The terminal disclaimer filed in the parent application carries over because the CPA retains the same application number as the parent application, i.e., the application number to which the previously filed terminal disclaimer is directed. If applicant does not want the terminal disclaimer to carry over to the CPA, applicant must file a petition under 37 CFR 1.182 along with the required petition fee, requesting the terminal disclaimer filed in the parent application not be carried over to the CPA. See MPEP § 1490, "Withdrawing a Terminal Disclaimer," subheading entitled "A. Before Issuance of Patent."

C.    Prior Election

An election made in the prior application carries over to the CPA only if all of the following conditions are met: (A) the CPA is designated as a continuation or is not designated at all (i.e., the CPA is NOT designated as a divisional); (B) there was an express election by the applicant in reply to a restriction requirement in the prior application; (C) the CPA presents claim(s) drawn only to invention(s) claimed in the prior application; and (D) the CPA does not contain an indication that a shift in election is desired.

Where all of the conditions are met, the examiner's first action should repeat the restriction requirement made in the prior application to the extent it is still applicable in the CPA and include a statement that prosecution is being continued on the invention elected and prosecuted by applicant in the prior application.

D.    Information Disclosure Statements and Preliminary Amendments

All information disclosure statements filed in the prior application that comply with the content requirements of 37 CFR 1.98 will be considered in a CPA by the examiner. No specific request that the previously submitted information be considered in a CPA is required.

In addition, all information disclosure statements that comply with the content requirements of 37 CFR 1.98 and are filed before the mailing of a first Office action on the merits will be considered by the examiner, regardless of whatever else has occurred in the examination process up to that point in time. The submission of an information disclosure statement after the first Office action is mailed could delay prosecution. Therefore, applicants are encouraged to file any information disclosure statement in a CPA as early as possible, preferably at the time of filing the CPA. For further discussion of information disclosure statements, see MPEP § 609.

Applicants are also encouraged to file all preliminary amendments at the time of filing a CPA because the entry of any preliminary amendment filed after the filing date of the CPA could be denied under 37 CFR 1.115 if the preliminary amendment unduly interferes with the preparation of a first Office action. See MPEP § 714.03(a). In a situation where the applicant needs more time to prepare a preliminary amendment or to file an information disclosure statement, applicant can request a three-month suspension of action under 37 CFR 1.103(b). The three-month suspension of action under 37 CFR 1.103(b) must be filed at the time of filing a CPA. See MPEP § 709.

E.    Copies of Affidavits

Affidavits and declarations, such as those under 37 CFR 1.130, 1.131 and 1.132 filed during the prosecution of the parent nonprovisional application, automatically become a part of the CPA. Therefore, no copy of the original affidavit or declaration filed in the parent nonprovisional application need be filed in the CPA.

IV.    PUBLIC ACCESS TO CPAs

A.    Waiver of Confidentiality

A CPA is construed to include a waiver of confidentiality by the applicant under 35 U.S.C. 122 to the extent that any member of the public who is entitled under the provisions of 37 CFR 1.14 to obtain access to, copies of, or information concerning either the prior application or any continuing application filed under the provisions of 37 CFR 1.53(d) may be given similar access to, copies of, or similar information concerning, the other application(s) in the application file. 37 CFR 1.53(d)(6). However, all applications in the file jacket of a pending CPA are treated as pending, rather than abandoned, in determining whether copies of, and access to, such applications will be granted. For Image File Wrapper (IFW) processing, see IFW Manual. See MPEP § 103 for further discussion of access to an abandoned application contained in the file of a pending CPA.

B.    Certified Copy

A certified copy of a CPA will be prepared by the Certification Branch upon request. The certified copy will consist of a copy of the most recent non-continued prosecution application in the chain of CPAs. The filing date of the CPA will be shown in the certified copy as the filing date of the most recent non-continued prosecution application in the chain of CPAs.

V.    FORMS

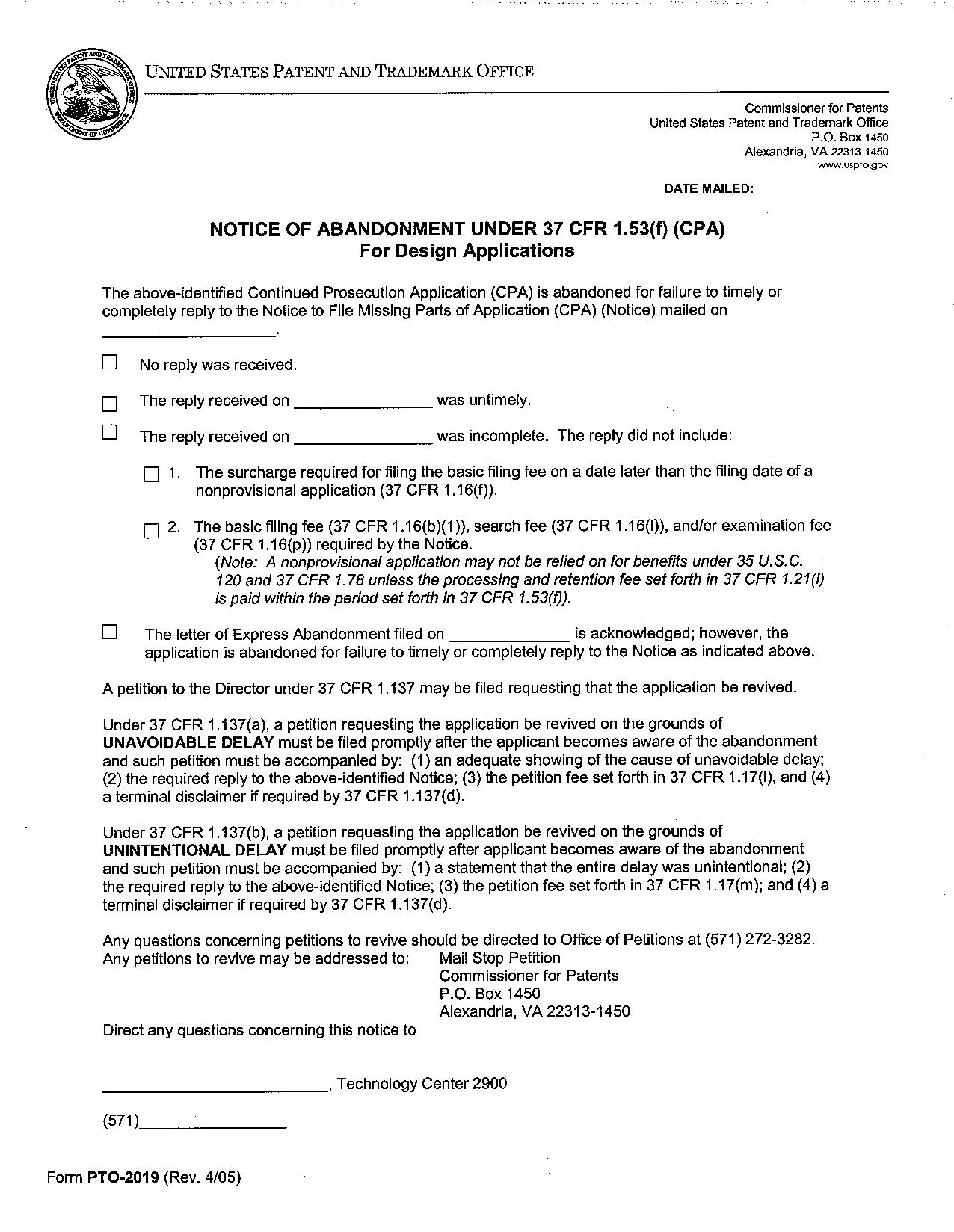
Form PTO/SB/29, "For Design Applications Only: Continued Prosecution Application (CPA) Request Transmittal" and Form PTO/SB/29A, "For Design Applications Only: Receipt For Facsimile Transmitted CPA" may be used by applicant for filing a CPA under 37 CFR 1.53(d). The forms used by the TCs to notify applicants of defects regarding applications filed under 37 CFR 1.53(d) are shown below. "Notice of Improper CPA (or FWC) Filing For Utility or Plant Applications Filed Before June 8, 1995" Form PTO-2011; "Notice of Improper CPA For Design Applications" Form PTO-2012; "Notice To File Missing Parts Of Application (CPA), For Design Applications" Form PTO-2021; "Notice Of Incomplete Reply (CPA) For Design Applications" Form PTO-2018; and "Notice Of Abandonment Under 37 CFR 1.53(f) (CPA) For Design Applications" Form PTO-2019.

**>

<b>Form PTO/SB/29. Continued Prosecution Application (CPA) Request Transmittal</b>

<b>Form PTO/SB/29. Continued Prosecution Application (CPA) Request Transmittal</b>

<b>Form PTO/SB/29. Continued Prosecution Application (CPA) Request Transmittal</b>

form pto/sb/29a. receipt for facsimile transmitted cpa

<

form pto-2011. notice of improper application

**>

form pto-2012. notice of improper cpa filing under 37 cfr 1.53(d)

form pto-2018. notice of incomplete reply (cpa)

form pto-2019. notice of abandonment under 37 cfr 1.53(f) (cpa)

form pto-2019. notice of abandonment under 37 cfr 1.53(f) (cpa)

browse after