Notice regarding Section 508 of the Workforce Investment Act of 1998. Section 508 of the Workforce Investment Act of 1998 requires all United States Federal Agencies with websites to make them accessible to individuals with disabilities. At this time, the MPEP files below do not meet all standards for web accessibility. Until changes can be made to make them fully accessible to individuals with disabilities, the USPTO is providing access assistance via telephone. MPEP Interim Accessibility Contact: 571-272-8813.

browse before

711.03(c) Petitions Relating to Abandonment [R-6] - 700 Examination of Applications

711.03(c) Petitions Relating to Abandonment [R-6]

37 CFR 1.135 Abandonment for failure to reply within time period.

(a) If an applicant of a patent application fails to reply within the time period provided under § 1.134 and § 1.136, the application will become abandoned unless an Office action indicates otherwise.

(b) Prosecution of an application to save it from abandonment pursuant to paragraph (a) of this section must include such complete and proper reply as the condition of the application may require. The admission of, or refusal to admit, any amendment after final rejection or any amendment not responsive to the last action, or any related proceedings, will not operate to save the application from abandonment.

(c) When reply by the applicant is a bona fide attempt to advance the application to final action, and is substantially a complete reply to the non-final Office action, but consideration of some matter or compliance with some requirement has been inadvertently omitted, applicant may be given a new time period for reply under § 1.134 to supply the omission.


37 CFR 1.137 Revival of abandoned application, terminated reexamination proceeding, or lapsed patent.

**>

(a) Unavoidable. If the delay in reply by applicant or patent owner was unavoidable, a petition may be filed pursuant to this paragraph to revive an abandoned application, a reexamination prosecution terminated under §§ 1.550(d) or 1.957(b) or limited under § 1.957(c), or a lapsed patent. A grantable petition pursuant to this paragraph must be accompanied by:<

(1) The reply required to the outstanding Office action or notice, unless previously filed;

(2) The petition fee as set forth in § 1.17(l);

(3) A showing to the satisfaction of the Director that the entire delay in filing the required reply from the due date for the reply until the filing of a grantable petition pursuant to this paragraph was unavoidable; and

(4) Any terminal disclaimer (and fee as set forth in §  1.20(d)) required pursuant to paragraph (d) of this section.

**>

(b) Unintentional. If the delay in reply by applicant or patent owner was unintentional, a petition may be filed pursuant to this paragraph to revive an abandoned application, a reexamination prosecution terminated under §§ 1.550(d) or 1.957(b) or limited under § 1.957(c), or a lapsed patent. A grantable petition pursuant to this paragraph must be accompanied by:<

(1) The reply required to the outstanding Office action or notice, unless previously filed;

(2) The petition fee as set forth in § 1.17(m);

(3) A statement that the entire delay in filing the required reply from the due date for the reply until the filing of a grantable petition pursuant to this paragraph was unintentional. The Director may require additional information where there is a question whether the delay was unintentional; and

(4) Any terminal disclaimer (and fee as set forth in §  1.20(d)) required pursuant to paragraph (d) of this section.

(c) Reply. In a nonprovisional application abandoned for failure to prosecute, the required reply may be met by the filing of a continuing application. In a nonprovisional utility or plant application filed on or after June 8, 1995, and abandoned for failure to prosecute, the required reply may also be met by the filing of a request for continued examination in compliance with § 1.114. In an application or patent, abandoned or lapsed for failure to pay the issue fee or any portion thereof, the required reply must include payment of the issue fee or any outstanding balance. In an application, abandoned for failure to pay the publication fee, the required reply must include payment of the publication fee.

(d) Terminal disclaimer.

(1) Any petition to revive pursuant to this section in a design application must be accompanied by a terminal disclaimer and fee as set forth in § 1.321 dedicating to the public a terminal part of the term of any patent granted thereon equivalent to the period of abandonment of the application. Any petition to revive pursuant to this section in either a utility or plant application filed before June 8, 1995, must be accompanied by a terminal disclaimer and fee as set forth in § 1.321 dedicating to the public a terminal part of the term of any patent granted thereon equivalent to the lesser of:

(i) The period of abandonment of the application; or

(ii) The period extending beyond twenty years from the date on which the application for the patent was filed in the United States or, if the application contains a specific reference to an earlier filed application(s) under 35 U.S.C. 120, 121, or 365(c), from the date on which the earliest such application was filed.

(2) Any terminal disclaimer pursuant to paragraph (d)(1) of this section must also apply to any patent granted on a continuing utility or plant application filed before June 8, 1995, or a continuing design application, that contains a specific reference under 35 U.S.C. 120, 121, or 365(c) to the application for which revival is sought.

(3) The provisions of paragraph (d)(1) of this section do not apply to applications for which revival is sought solely for purposes of copendency with a utility or plant application filed on or after June 8, 1995, to lapsed patents, to reissue applications, or to reexamination proceedings.

**>

(e) Request for reconsideration. Any request for reconsideration or review of a decision refusing to revive an abandoned application, a terminated or limited reexamination prosecution, or lapsed patent upon petition filed pursuant to this section, to be considered timely, must be filed within two months of the decision refusing to revive or within such time as set in the decision. Unless a decision indicates otherwise, this time period may be extended under:

(1) The provisions of § 1.136 for an abandoned application or lapsed patent;

(2) The provisions of § 1.550(c) for a terminated ex parte reexamination prosecution, where the ex parte reexamination was filed under § 1.510; or

(3) The provisions of § 1.956 for a terminated inter partes reexamination prosecution or an inter partes reexamination limited as to further prosecution, where the inter partes reexamination was filed under § 1.913.<

(f) Abandonment for failure to notify the Office of a foreign filing: A nonprovisional application abandoned pursuant to 35 U.S.C. 122(b)(2)(B)(iii) for failure to timely notify the Office of the filing of an application in a foreign country or under a multinational treaty that requires publication of applications eighteen months after filing, may be revived only pursuant to paragraph (b) of this section. The reply requirement of paragraph (c) of this section is met by the notification of such filing in a foreign country or under a multinational treaty, but the filing of a petition under this section will not operate to stay any period for reply that may be running against the application.

(g) Provisional applications: A provisional application, abandoned for failure to timely respond to an Office requirement, may be revived pursuant to this section. Subject to the provisions of 35 U.S.C. 119(e)(3) and § 1.7(b), a provisional application will not be regarded as pending after twelve months from its filing date under any circumstances.


37 CFR 1.181 Petition to the Director.

(a) Petition may be taken to the Director:

(1) From any action or requirement of any examiner in the ex parte prosecution of an application, or in ex parte or inter partes prosecution of a reexamination proceeding which is not subject to appeal to the Board of Patent Appeals and Interferences or to the court;

(2) In cases in which a statute or the rules specify that the matter is to be determined directly by or reviewed by the Director; and

(3) To invoke the supervisory authority of the Director in appropriate circumstances. For petitions involving action of the Board of Patent Appeals and Interferences, see § 41.3 of this title.

*****

(f) The mere filing of a petition will not stay any period for reply that may be running against the application, nor act as a stay of other proceedings. Any petition under this part not filed within two months of the mailing date of the action or notice from which relief is requested may be dismissed as untimely, except as otherwise provided. This two-month period is not extendable.

*****


I.    PETITION TO WITHDRAW HOLDING OF ABANDONMENT

A petition to revive an abandoned application (discussed below) should not be confused with a petition from an examiner's holding of abandonment. Where an applicant contends that the application is not in fact abandoned (e.g., there is disagreement as to the sufficiency of the reply, or as to controlling dates), a petition under 37 CFR 1.181(a) requesting withdrawal of the holding of abandonment is the appropriate course of action, and such petition does not require a fee. Where there is no dispute as to whether an application is abandoned (e.g., the applicant's contentions merely involve the cause of abandonment), a petition under 37 CFR 1.137 (accompanied by the appropriate petition fee) is necessary to revive the abandoned application.

Two additional procedures are available for reviving an application that has become abandoned due to a failure to reply to an Office Action: (1) a petition under 37 CFR 1.137(a) based on unavoidable delay; and (2) a petition under 37 CFR 1.137(b) based on unintentional delay.

A.    Petition To Withdraw Holding of Abandonment Based on Failure To Receive Office Action

In Delgar v. Schulyer, 172 USPQ 513 (D.D.C. 1971), the court decided that the Office should mail a new Notice of Allowance in view of the evidence presented in support of the contention that the applicant's representative did not receive the original Notice of Allowance. Under the reasoning of Delgar, an allegation that an Office action was never received may be considered in a petition to withdraw the holding of abandonment. If adequately supported, the Office may grant the petition to withdraw the holding of abandonment and remail the Office action. That is, the reasoning of Delgar is applicable regardless of whether an application is held abandoned for failure to timely pay the issue fee ( 35 U.S.C. 151) or for failure to prosecute ( 35 U.S.C. 133).

To minimize costs and burdens to practitioners and the Office, the Office has modified the showing required to establish nonreceipt of an Office action. The showing required to establish nonreceipt of an Office communication must include a statement from the practitioner **>describing the system used for recording an Office action received at the correspondence address of record with the USPTO. The statement should establish that the docketing system is sufficiently reliable. It is expected that the record would include, but not be limited to, the application number, attorney docket number, the mail date of the Office action and the due date for the response.

Practitioner must state that the Office action was not received at the correspondence address of record, and that a search of the practitioner's record(s), including any file jacket or the equivalent, and the application contents, indicates that the Office action was not received. A copy of the record(s) used by the practitioner where the non-received Office action would have been entered had it been received is required.

A copy of the practitioner's record(s) required to show non-receipt of the Office action should include the master docket for the firm. That is, if a three month period for reply was set in the nonreceived Office action, a copy of the master docket report showing all replies docketed for a date three months from the mail date of the nonreceived Office action must be submitted as documentary proof of nonreceipt of the Office action. If no such master docket exists, the practitioner should so state and provide other evidence such as, but not limited to, the following: the application file jacket; incoming mail log; calendar; reminder system; or the individual docket record for the application in question.<

The showing outlined above may not be sufficient if there are circumstances that point to a conclusion that the Office action may have been lost after receipt rather than a conclusion that the Office action was lost in the mail (e.g., if the practitioner has a history of not receiving Office actions).

Evidence of nonreceipt of an Office communication or action (e.g., Notice of Abandonment or an advisory action) other than that action to which reply was required to avoid abandonment would not warrant withdrawal of the holding of abandonment. Abandonment takes place by operation of law for failure to reply to an Office action or timely pay the issue fee, not by operation of the mailing of a Notice of Abandonment. See Lorenz v. Finkl, 333 F.2d 885, 889-90, 142 USPQ 26, 29-30 (CCPA 1964); Krahn v. Commissioner, 15 USPQ2d 1823, 1824 (E.D. Va 1990); In re Application of Fischer, 6 USPQ2d 1573, 1574 (Comm'r Pat. 1988).

B.    Petition To Withdraw Holding of Abandonment Based on Evidence That a Reply Was Timely Mailed or Filed

37 CFR 1.10(c) through 1.10(e) and 1.10(g) set forth procedures for petitioning the Director of the USPTO to accord a filing date to correspondence as of the date of deposit of the correspondence as "Express Mail." A petition to withdraw the holding of abandonment relying upon a timely reply placed in "Express Mail" must include an appropriate petition under 37 CFR 1.10(c), (d), (e), or (g) (see MPEP § 513). When a paper is shown to have been mailed to the Office using the "Express Mail" procedures, the paper must be entered in PALM with the "Express Mail" date.

Similarly, applicants may establish that a reply was filed with a postcard receipt that properly identifies the reply and provides prima facie evidence that the reply was timely filed. See MPEP § 503. For example, if the application has been held abandoned for failure to file a reply to a first Office action, and applicant has a postcard receipt showing that an amendment was timely filed in response to the Office action, then the holding of abandonment should be withdrawn upon the filing of a petition to withdraw the holding of abandonment. When the reply is shown to have been timely filed based on a postcard receipt, the reply must be entered into PALM using the date of receipt of the reply as shown on the post card receipt.

Where a certificate of mailing under 37 CFR 1.8, but not a postcard receipt, is relied upon in a petition to withdraw the holding of abandonment, see 37 CFR 1.8(b) and MPEP § 512. As stated in 37 CFR 1.8(b)(3) the statement that attests to the previous timely mailing or transmission of the correspondence must be on a personal knowledge basis, or to the satisfaction of the Director of the USPTO. If the statement attesting to the previous timely mailing is not made by the person who signed the Certificate of Mailing (i.e., there is no personal knowledge basis), then the statement attesting to the previous timely mailing should include evidence that supports the conclusion that the correspondence was actually mailed (e.g., copies of a mailing log establishing that correspondence was mailed for that application). When the correspondence is shown to have been timely filed based on a certificate of mailing, the correspondence is entered into PALM with the actual date of receipt (i.e., the date that the duplicate copy of the papers was filed with the statement under 37 CFR 1.8).

37 CFR 1.8(b) also permits applicant to notify the Office of a previous mailing or transmission of correspondence and submit a statement under 37 CFR 1.8(b)(3) accompanied by a duplicate copy of the correspondence when a reasonable amount of time (e.g., more than one month) has elapsed from the time of mailing or transmitting of the correspondence. Applicant does not have to wait until the application becomes abandoned before notifying the Office of the previous mailing or transmission of the correspondence. Applicant should check the private Patent Application Information Retrieval (PAIR) system for the status of the correspondence before notifying the Office. See MPEP § 512.

C.    Treatment of Untimely Petition To Withdraw Holding of Abandonment

37 CFR 1.181(f) provides that, inter alia, except as otherwise provided, any petition not filed within 2 months from the action complained of may be dismissed as untimely. Therefore, any petition (under 37 CFR 1.181) to withdraw the holding of abandonment not filed within 2 months of the mail date of a notice of abandonment (the action complained of) may be dismissed as untimely. 37 CFR 1.181(f).

Rather than dismiss an untimely petition to withdraw the holding of abandonment under 37 CFR 1.181(f), the Office may require a terminal disclaimer as a condition of granting an untimely petition to withdraw the holding of abandonment.

1.    Design Applications, Utility Applications Filed Before June 8, 1995, and Plant Applications Filed Before June 8, 1995

(a)    Applicant Receives Notice of Abandonment

In any design application, any utility application filed before June 8, 1995, or any plant application filed before June 8, 1995, if applicant receives a notice of abandonment, any petition to withdraw the holding of abandonment that is not filed within two months of the mail date of the notice of abandonment will not (absent extraordinary circumstances) be treated on its merits unless accompanied by a terminal disclaimer under 37 CFR 1.321(a), and the required fee set forth in 37 CFR 1.20(d). The period to be disclaimed is the terminal part of the term of any patent granted on the application, or of any patent granted on any utility or plant application that claims the benefit of the filing date of the application under 35 U.S.C. 120, 121, or 365(c), equivalent to the period between:

(A) the date that is two months after the mail date of the notice of abandonment; and

(B) the filing date of a grantable petition to withdraw the holding of abandonment.

Form PTO/SB/62 is the appropriate terminal disclaimer to be used.

(b)    Applicant Does Not Receive Notice of Abandonment

In any design application, any utility application filed before June 8, 1995, or any plant application filed before June 8, 1995, if applicant never receives the notice of abandonment, any petition to withdraw the holding of abandonment that is not filed within twelve months from the date of applicant's filing (or date of submission, if the correspondence was never received by the Office) of correspondence with the Office for which further action by the Office can reasonably be expected, will not (absent extraordinary circumstances) be treated on its merit unless accompanied by a terminal disclaimer under 37 CFR 1.321(a), and the required fee set forth in 37 CFR 1.20(d). The period to be disclaimed is the terminal part of the term of any patent granted thereon, or of any patent granted on any utility or plant application that claims the benefit of the filing date of the application under 35 U.S.C. 120, 121, or 365(c), equivalent to the period between:

(A) the date that is twelve months from the date of applicant's filing or submission of correspondence with the Office, for which further action by the Office can reasonably be expected; and

(B) the filing date of a grantable petition to withdraw the holding of abandonment.

Form PTO/SB/62 is the appropriate terminal disclaimer to be used.

2.    Utility and Plant Applications Filed on or After June 8, 1995 but Before May 29, 2000

In utility and plant applications filed on or after June 8, 1995, but before May 29, 2000, a terminal disclaimer should not be required as a condition of granting an untimely petition to withdraw the holding of abandonment. However, the Office of Patent Legal Administration (OPLA) must be consulted in such situations if the holding of abandonment involves a period during: (A) appellate review by the Board of Patent Appeals and Interferences; (B) an interference proceeding under 35 U.S.C. 135(a), including any suspension due to an interference proceeding; or (C) which the application was in a sealed condition or prosecution was suspended due to a secrecy order under 35 U.S.C. 181. This is because it is necessary to effect (if appropriate) a reduction of patent term extension under the "due diligence" provisions of 37 CFR 1.701(d)(2).

3.    Utility and Plant Applications Filed on or After May 29, 2000

In utility and plant applications filed on or after May 29, 2000, a terminal disclaimer should not be required as a condition of granting an untimely petition to withdraw the holding of abandonment. This is because any patent term adjustment is automatically reduced under the provisions of 37 CFR 1.704(c)(4) in applications subject to the patent term adjustment provisions of the American Inventors Protection Act of 1999 (AIPA) if a petition to withdraw a holding of abandonment is not filed within two months from the mailing date of the notice of abandonment, and if applicant does not receive the notice of abandonment, any patent term adjustment is reduced under the provisions of 37 CFR 1.704(a) by a period equal to the period of time during which the applicant "failed to engage in reasonable efforts to conclude prosecution" (processing or examination) of the application.

Where the record indicates that the applicant intentionally delayed the filing of a petition to withdraw the holding of abandonment, the Office may simply dismiss the petition as untimely (37 CFR 1.181(f)) solely on the basis of such intentional delay in taking action in the application without further addressing the merits of the petition. Obviously, intentional delay in seeking the revival of an abandoned application precludes relief under 37 CFR 1.137(a) or (b) (discussed below).

II.    PETITIONS TO REVIVE AN ABANDONED APPLICATION, OR ACCEPT LATE PAYMENT OF ISSUE FEE

37 CFR 1.137 provides for the revival of abandoned applications and lapsed patents for the failure:

(A) to timely reply to an Office requirement in a provisional application;

(B) to timely prosecute in a nonprovisional application;

(C) to timely pay the issue fee for a design application;

(D) to timely pay the issue fee for a utility or plant application; and

(E) to timely pay any outstanding balance of the issue fee (lapsed patents).

A petition under 37 CFR 1.137(a) requires:

(A) the required reply, unless previously filed;

(B) the petition fee as set forth in 37 CFR 1.17(l);

(C) a showing to the satisfaction of the Director of the USPTO that the entire delay in filing the required reply from the due date for the reply until the filing of a grantable petition pursuant to 37 CFR 1.137(a) was unavoidable; and

(D) any terminal disclaimer required pursuant to 37 CFR 1.137(d).

A petition under 37 CFR 1.137(b) requires:

(A) the required reply, unless previously filed;

(B) the petition fee as set forth in 37 CFR 1.17(m);

(C) a statement that the entire delay in filing the required reply from the due date for the reply until the filing of a grantable petition pursuant to 37 CFR 1.137(b) was unintentional; and

(D) any terminal disclaimer required pursuant to 37 CFR 1.137(d).

The Director of the USPTO may require additional information where there is a question whether the delay was unintentional.

A.    Reply Requirement

Unlike a petition to withdraw the holding of abandonment, a petition to revive under 37 CFR 1.137 must be accompanied by, inter alia, the required reply. See Ex parte Richardson, 1906 Dec. Comm'r Pat. 83 (1905) ("This Office has no authority to revive a case upon which no action has been taken within [the period for reply], but merely has authority to determine after an action is taken whether the delay in presenting it was unavoidable."). Generally, the required reply is the reply sufficient to have avoided abandonment, had such reply been timely filed. A petition for an extension of time under 37 CFR 1.136 and a fee for such an extension of time are not required to be included with the reply.

37 CFR 1.137(c) applies to the reply requirement for petitions under 37 CFR 1.137(a) and (b). In a nonprovisional application abandoned for failure to prosecute, the required reply may be met by the filing of a continuing application. In a nonprovisional utility or plant application filed on or after June 8, 1995, and abandoned for failure to prosecute, the required reply may also be met by the filing of a request for continued examination (RCE) in compliance with 37 CFR  1.114. In an application or patent, abandoned or lapsed for failure to pay the issue fee or any portion thereof, the required reply must include payment of the issue fee or any outstanding balance. In an application, abandoned for failure to pay the publication fee, the required reply must include payment of the publication fee. See below for more details on the reply requirement in specific situations of abandonment.

1.    Abandonment for Failure To Pay the Issue Fee or Publication Fee

While the revival of applications abandoned for failure to timely prosecute and for failure to timely pay the issue fee are incorporated together in 37 CFR 1.137, the statutory provisions for the revival of an application abandoned for failure to timely prosecute and for failure to timely submit the issue fee are mutually exclusive. See Brenner v. Ebbert, 398 F.2d 762, 157 USPQ 609 (D.C. Cir. 1968). 35 U.S.C. 151 authorizes the acceptance of a delayed payment of the issue fee, if the issue fee "is submitted ... and the delay in payment is shown to have been unavoidable." 35 U.S.C. 41(a)(7) likewise authorizes the acceptance of an "unintentionally delayed payment of the fee for issuing each patent." Thus, 35 U.S.C. 41(a)(7) and 151 each require payment of the issue fee as a condition of reviving an application abandoned or patent lapsed for failure to pay the issue fee. Therefore, the filing of a continuing application without payment of the issue fee or any outstanding balance thereof is not an acceptable reply in an application abandoned or patent lapsed for failure to pay the issue fee or any portion thereof.

The Notice of Allowance requires the timely payment of the issue fee in effect on the date of its mailing to avoid abandonment of the application. In instances in which there is an increase in the issue fee by the time of payment of the issue fee required in the Notice of Allowance, the Office will mail a notice requiring payment of the balance of the issue fee then in effect. See In re Mills, 12 USPQ2d 1847, 1848 (Comm'r Pat. 1989). The phrase "for failure to pay the issue fee or any portion thereof" applies to those instances in which the applicant fails to pay either the issue fee required in the Notice of Allowance or the balance of the issue fee required in a subsequent notice. In such instances, the reply must be the issue fee then in effect, if no portion of the issue fee was previously submitted, or any outstanding balance of the issue fee then in effect, if a portion of the issue fee was previously submitted.

In an application abandoned for failure to pay the publication fee, the required reply must include payment of the publication fee. Even if an application abandoned for failure to pay the publication fee is being revived solely for purposes of continuity with a continuing application, the petition to revive under 37 CFR 1.137 must include payment of the publication fee.

2.    Abandonment for Failure To Reply in a Nonprovisional Application

(a)    Abandonment for Failure To Reply to a Non-Final Action

The required reply to a non-final action in a nonprovisional application abandoned for failure to prosecute may be either:

(A) an argument or an amendment under 37 CFR 1.111;

(B) the filing of a continuing application under 37 CFR 1.53(b) (or a continued prosecution application (CPA) under 37 CFR 1.53(d) if the application is a design application).

The grant of a petition under 37 CFR 1.137 is not a determination that any reply under 37 CFR 1.111 is complete. Where the proposed reply is to a non-final Office action, the petition may be granted if the reply appears to be bona fide. After revival of the application, the patent examiner may, upon more detailed review, determine that the reply is lacking in some respect. In this limited situation, the patent examiner should send out a letter giving a 1-month shortened statutory period under 37 CFR 1.135(c) for correction of the error or omission. Extensions of time under 37 CFR 1.136(a) are permitted. If applicant does not correct the omission within the time period set in the letter (including any extension), the application is again abandoned.

(b)    Abandonment for Failure To Reply to a Final Action

A reply under 37 CFR 1.113 to a final action must include a request for continued examination (RCE) under 37 CFR 1.114 or cancellation of, or appeal from the rejection of, each claim so rejected. Accordingly, in a nonprovisional application abandoned for failure to reply to a final action, the reply required for consideration of a petition to revive must be:

(A) a Notice of Appeal and appeal fee;

(B) an amendment under 37 CFR 1.116 that cancels all the rejected claims or otherwise prima facie places the application in condition for allowance;

(C) the filing of an RCE (accompanied by a submission that meets the reply requirements of 37 CFR 1.111 and the requisite fee) under 37 CFR 1.114 for utility or plant applications filed on or after June 8, 1995 (see paragraph (d) below); or

(D) the filing of a continuing application under 37 CFR 1.53(b) (or a CPA under 37 CFR 1.53(d) if the application is a design application).

When a notice of appeal is the reply filed pursuant to 37 CFR 1.137(a)(1) or 1.137(b)(1), the time period under 37 CFR 41.37 for filing the appeal brief will be set by the Director of the USPTO in the decision granting the petition.

An application subject to a final action in which a proposed amendment under 37 CFR 1.116 is filed as the required reply will normally be routed by the Office of Petitions to the Technology Center (TC) to determine whether a proposed amendment places the application in condition for allowance prior to granting any petition to revive such application. The examiner is instructed that if the reply places the application in condition for allowance, the examiner should write in the margin of the reply "OK to enter upon revival." For Image File Wrapper (IFW) processing, see IFW Manual. If the petition is otherwise grantable and the examiner indicates that the reply places the application in condition for allowance, the petition will be granted. If, on the other hand, the reply would not place the application in condition for allowance, the examiner is instructed to complete form PTOL-303 and return the form to the Office of Petitions with the application. Form PTOL-303 should not be mailed to the applicant by the examiner. In this situation, the Office of Petitions will not grant the petition. A copy of the form PTOL-303 is marked with the notation "Courtesy Copy" by the Office of Petitions. The courtesy copy is sent as an attachment with the decision on the petition. The advisory form PTOL-303 merely serves as an advisory notice to the Office of Petitions regarding the decision of the examiner on the amendment after final rejection. For Image File Wrapper (IFW) processing, see IFW Manual.

(c)    Abandonment for Failure To File an Appeal Brief

In those situations where abandonment occurred because of the failure to file an appeal brief, the reply required pursuant to 37 CFR 1.137(a)(1) or 1.137(b)(1) must be either:

(A) an appeal brief in compliance with 37 CFR 41.37 (c) and appeal brief fee;

(B) the filing of an RCE accompanied by a submission and the requisite fee in compliance with 37 CFR 1.114 for utility or plant applications filed on or after June 8, 1995 (see paragraph (d) below); or

(C) the filing of a continuing application under 37 CFR 1.53(b) (or a CPA under 37 CFR 1.53(d) if the application is a design application).

(d)    Filing an RCE as the Required Reply

For utility or plant applications abandoned for failure to reply to a final Office action or for failure to file an appeal brief, the required reply may be the filing of an RCE accompanied by a submission and the requisite fee. When an RCE is the reply filed pursuant to 37 CFR 1.137(a)(1) or 1.137(b)(1) to revive such an application, the submission accompanying the RCE must be a reply responsive within the meaning of 37 CFR 1.111 to the last Office action. Consideration of whether the submission is responsive within the meaning of 37 CFR 1.111 to the last Office action is done without factoring in the "final" status of such action. The submission may be a previously filed amendment after final or a statement that incorporates by reference the arguments in a previously filed appeal or reply brief. See MPEP § 706.07(h), paragraph II.

The petition may be granted if the submission appears to be a bona fide attempt to provide a complete reply to the last Office action. After revival of the application, the examiner may, upon a more detailed review, determine that the reply is lacking in some respect. In this limited situation, the examiner should send out a letter giving a 1-month shortened statutory period under 37 CFR 1.135(c) for correction of the error or omission. Extensions of time under 37 CFR 1.136(a) are permitted. If the applicant does not correct the omission within the time period set in the letter (including any extension), the application is again abandoned.

(e)    A Continuing Application or RCE May Be Required by the Office

The Office may require the filing of a continuing application or an RCE (if the prosecution prior to abandonment was closed) (or request for further examination pursuant to 37 CFR 1.129(a)) to meet the reply requirement of 37 CFR 1.137(a)(1) (or 37 CFR 1.137(b)(1)) where, under the circumstances of the application, treating a reply under 37 CFR 1.111 or 1.113 would place an inordinate burden on the Office. Exemplary circumstances of when treating a reply under 37 CFR 1.111 or 1.113 may place an inordinate burden on the Office are where:

(A) an application has been abandoned for an inordinate period of time;

(B) an application file contains multiple or conflicting replies to the last Office action; or

(C) the reply or replies submitted under 37 CFR 1.137(a)(1) (or 37 CFR 1.137(b)(1)) are questionable as to compliance with 37 CFR 1.111 or 1.113.

3.    Abandonment for Failure To Notify the Office of a Foreign Filing After the Submission of a Non-Publication Request

If an applicant makes a nonpublication request upon filing with the appropriate certifications, the utility or plant application filed on or after November 29, 2000 will not be published under 35 U.S.C. 122(b)(1). See 35 U.S.C. 122(b)(2)(B)(i). If an applicant makes a nonpublication request and then rescinds, pursuant to 35 U.S.C. 122(b)(2)(B)(ii), the nonpublication request before or on the date a counterpart application is filed in a foreign country, or under a multilateral international agreement, that requires eighteen-month publication, the nonpublication request will be treated as annulled and the application will be treated as if the nonpublication request were never made. See MPEP § 1123 and § 1124. An applicant who has made a nonpublication request, but who subsequently files an application directed to the invention disclosed in the U.S. application in a foreign country, or under a multilateral international agreement, that requires eighteen-month publication before the nonpublication request is rescinded, must, in addition to the rescission, notify the Office of such filing within forty-five days after the date of such filing. The requirement in 35 U.S.C. 122(b)(2)(B)(iii) for notice of the foreign filing is in addition to any rescission of the nonpublication request under 35 U.S.C. 122(b)(2)(B)(ii). If an applicant files a counterpart application in a foreign country after having filed an application in the USPTO with a nonpublication request, filing a rescission of the nonpublication request under 35 U.S.C. 122(b)(2)(B)(ii) without also providing a notice of the foreign filing in a timely manner will result in the abandonment of the U.S. application under 35 U.S.C. 122(b)(2)(B)(iii). 35 U.S.C. 122(b)(2)(B)(iii), however, also provides that an application abandoned as a result of the failure to timely provide such a notice to the Office is subject to revival if the "delay in submitting the notice was unintentional."

35 U.S.C. 122(b)(2)(B)(iii) provides for revival only on the basis of unintentional delay, and not on the basis of unavoidable delay. Therefore, a nonprovisional application abandoned pursuant to 35 U.S.C. 122(b)(2)(B)(iii) for failure to timely notify the Office of the filing of an application in a foreign country or under a multinational treaty that requires eighteen-month publication may be revived only on the basis of unintentional delay pursuant to 37 CFR 1.137(b). The reply requirement of 37 CFR 1.137(c) is met by the notification of such filing in a foreign country or under a multinational treaty, but the filing of a petition under 37 CFR  1.137(b) will not operate to stay any period for reply that may be running against the application. Since the Office cannot ascertain whether an application is abandoned under 35 U.S.C. 122(b)(2)(B)(iii), the Office may continue to process and examine the application until the Office is notified of applicant's failure to meet the forty-five days notice requirement of 35 U.S.C. 122(b)(2)(B)(iii). Therefore, the filing of a petition under 37 CFR  1.137(b) to revive such an application will not operate to stay any period for reply that may be running against the application. Applicants may use form PTO/SB/64a to file a petition for revival under 37 CFR 1.137(b).

B.    Petition Fee Requirement

35 U.S.C. 41(a)(7) provides that a petition for the revival of an unintentionally abandoned application or for the unintentionally delayed payment of the issue fee must be accompanied by the petition fee set forth in 37 CFR 1.17(m), unless the petition is filed under 35 U.S.C. 133 or 151 (on the basis of unavoidable delay), in which case the fee is set forth in 37 CFR 1.17(l). Thus, unless the circumstances warrant the withdrawal of the holding of abandonment (i.e., it is determined that the application is not properly held abandoned), the payment of a petition fee to obtain the revival of an abandoned application is a statutory prerequisite to revival of the abandoned application, and cannot be waived.

In addition, the phrase "[o]n filing" in 35 U.S.C. 41(a)(7) means that the petition fee is required for the filing (and not merely the grant) of a petition under 37 CFR 1.137. See H.R. Rep. No. 542, 97th Cong., 2d Sess. 6 (1982), reprinted in 1982 U.S.C.C.A.N. 770 ("[t]he fees set forth in this section are due on filing the petition"). Therefore, the Office: (A) will not refund the petition fee required by 37 CFR 1.17(l) or 1.17(m), regardless of whether the petition under 37 CFR 1.137 is dismissed or denied; and (B) will not reach the merits of any petition under 37 CFR 1.137 lacking the requisite petition fee.

The phrase "unless the petition is filed under [35 U.S.C.] 133 or 151" signifies that petitions to revive filed on the basis of "unavoidable" delay (under 35 U.S.C. 133 or 151) are a subset of petitions to revive filed on the basis of unintentional delay. That is, "unavoidable" delay and "unintentional" delay are not alternatives; "unavoidable" delay is the epitome of "unintentional" delay. Any petition to revive an abandoned application or lapsed patent must meet the minimal "unintentional" delay threshold, and an applicant need only pay the fee specified in 37 CFR 1.17(l) (rather than the fee specified in 37 CFR 1.17(m)) if the petition is also accompanied by an adequate showing that the entire delay in filing the required reply, from the due date for the reply until the filing of a grantable petition pursuant to 37 CFR 1.137(a), was unavoidable.

C.     Unintentional and Unavoidable Delay

Petitions under 37 CFR 1.137(b) are less burdensome (statement(s) rather than a showing accompanied by documentary evidence) to file and are evaluated under the less stringent "unintentional delay" standard. Applicants determining whether to file a petition to revive an application under 37 CFR 1.137(b) or 1.137(a) should take the following into account:

While the Office reserves the authority to require further information concerning the cause of abandonment and delay in filing a petition to revive, the Office relies upon the applicant's duty of candor and good faith and accepts the statement that "the entire delay in filing the required reply from the due date for the reply until the filing of a grantable petition pursuant to 37 CFR 1.137(b) was unintentional" without requiring further information in the vast majority of petitions under 37 CFR 1.137(b). This is because the applicant is obligated under 37 CFR 10.18 to inquire into the underlying facts and circumstances when a practitioner provides this statement to the Office. In addition, providing an inappropriate statement in a petition under 37 CFR 1.137(b) to revive an abandoned application may have an adverse effect when attempting to enforce any patent resulting from the application. See Lumenyte Int'l Corp. v. Cable Lite Corp., Nos. 96-1011, 96-1077, 1996 U.S. App. LEXIS 16400, 1996 WL 383927 (Fed. Cir. July 9, 1996)(unpublished)(patents held unenforceable due to a finding of inequitable conduct in submitting an inappropriate statement that the abandonment was unintentional).

Even if the Office requires further information in a petition under 37 CFR 1.137(b), such petition is still significantly less burdensome to prepare and prosecute than a petition under 37 CFR 1.137(a). The Office is almost always satisfied as to whether "the entire delay.was unintentional" on the basis of statement(s) by the applicant or representative explaining the cause of the delay (accompanied at most by copies of correspondence relevant to the period of delay). A showing of unavoidable delay will (in addition to the above) require: (1) evidence concerning the procedures in place that should have avoided the error resulting in the delay; (2) evidence concerning the training and experience of the persons responsible for the error; and (3) copies of any applicable docketing records to show that the error was in fact the cause of the delay. See MPEP § 711.03(c), subsection II.C.2. In addition, a petition under 37 CFR 1.137(a) must establish that the delay was unavoidable, and not just that it was unintentional. Thus, many petitions originally filed under 37 CFR 1.137(a) end up being granted under 37 CFR 1.137(b) when the applicant realizes that sufficient evidence concerning the delay is too difficult to obtain or the cause of delay simply does not amount to "unavoidable delay" within the meaning of 37 CFR 1.137(a).

Since the requirements of 37 CFR 1.137(a) are more exacting than the corresponding requirements of 37 CFR 1.137(b), a petition under 37 CFR 1.137(a) is significantly less likely to be grantable as filed than is a petition under 37 CFR 1.137(b). The Office usually must render a number of interlocutory decisions dismissing a petition under 37 CFR 1.137(a) and requesting additional evidence until either the applicant provides a satisfactory showing of unavoidable delay (in which case the petition can be granted) or the Office concludes that the applicant cannot provide a satisfactory showing of unavoidable delay (in which case the petition must be denied). Thus, the period between when an applicant first files a petition to revive and the Office renders a decision granting (or denying) that petition will, more often than not, be much longer if the petition is under 37 CFR 1.137(a) than it would have been if the petition were under 37 CFR 1.137(b).

1.    Unintentional Delay

The legislative history of Public Law 97-247, § 3, 96 Stat. 317 (1982), reveals that the purpose of 35 U.S.C. 41(a)(7) is to permit the Office to have more discretion than in 35 U.S.C. 133 or 151 to revive abandoned applications in appropriate circumstances, but places a limit on this discretion stating that "[u]nder this section a petition accompanied by [the requisite fee] would not be granted where the abandonment or the failure to pay the fee for issuing the patent was intentional as opposed to being unintentional or unavoidable." H.R. Rep. No. 542, 97th Cong., 2d Sess. 6-7 (1982), reprinted in 1982 U.S.C.C.A.N. 770-71. A delay resulting from a deliberately chosen course of action on the part of the applicant is not an "unintentional" delay within the meaning of 37 CFR 1.137(b).

Where the applicant deliberately permits an application to become abandoned (e.g., due to a conclusion that the claims are unpatentable, that a rejection in an Office action cannot be overcome, or that the invention lacks sufficient commercial value to justify continued prosecution), the abandonment of such application is considered to be a deliberately chosen course of action, and the resulting delay cannot be considered as "unintentional" within the meaning of 37 CFR 1.137(b). See In re Application of G, 11 USPQ2d 1378, 1380 (Comm'r Pat. 1989). An intentional course of action is not rendered unintentional when, upon reconsideration, the applicant changes his or her mind as to the course of action that should have been taken. See In re Maldague, 10 USPQ2d 1477, 1478 (Comm'r Pat. 1988).

A delay resulting from a deliberately chosen course of action on the part of the applicant does not become an "unintentional" delay within the meaning of 37 CFR 1.137(b) because:

(A) the applicant does not consider the claims to be patentable over the references relied upon in an outstanding Office action;

(B) the applicant does not consider the allowed or patentable claims to be of sufficient breadth or scope to justify the financial expense of obtaining a patent;

(C) the applicant does not consider any patent to be of sufficient value to justify the financial expense of obtaining the patent;

(D) the applicant does not consider any patent to be of sufficient value to maintain an interest in obtaining the patent; or

(E) the applicant remains interested in eventually obtaining a patent, but simply seeks to defer patent fees and patent prosecution expenses.

Likewise, a change in circumstances that occurred subsequent to the abandonment of an application does not render "unintentional" the delay resulting from a previous deliberate decision to permit an application to be abandoned. These matters simply confuse the question of whether there was a deliberate decision not to continue the prosecution of an application with why there was a deliberate decision not to continue the prosecution of an application.

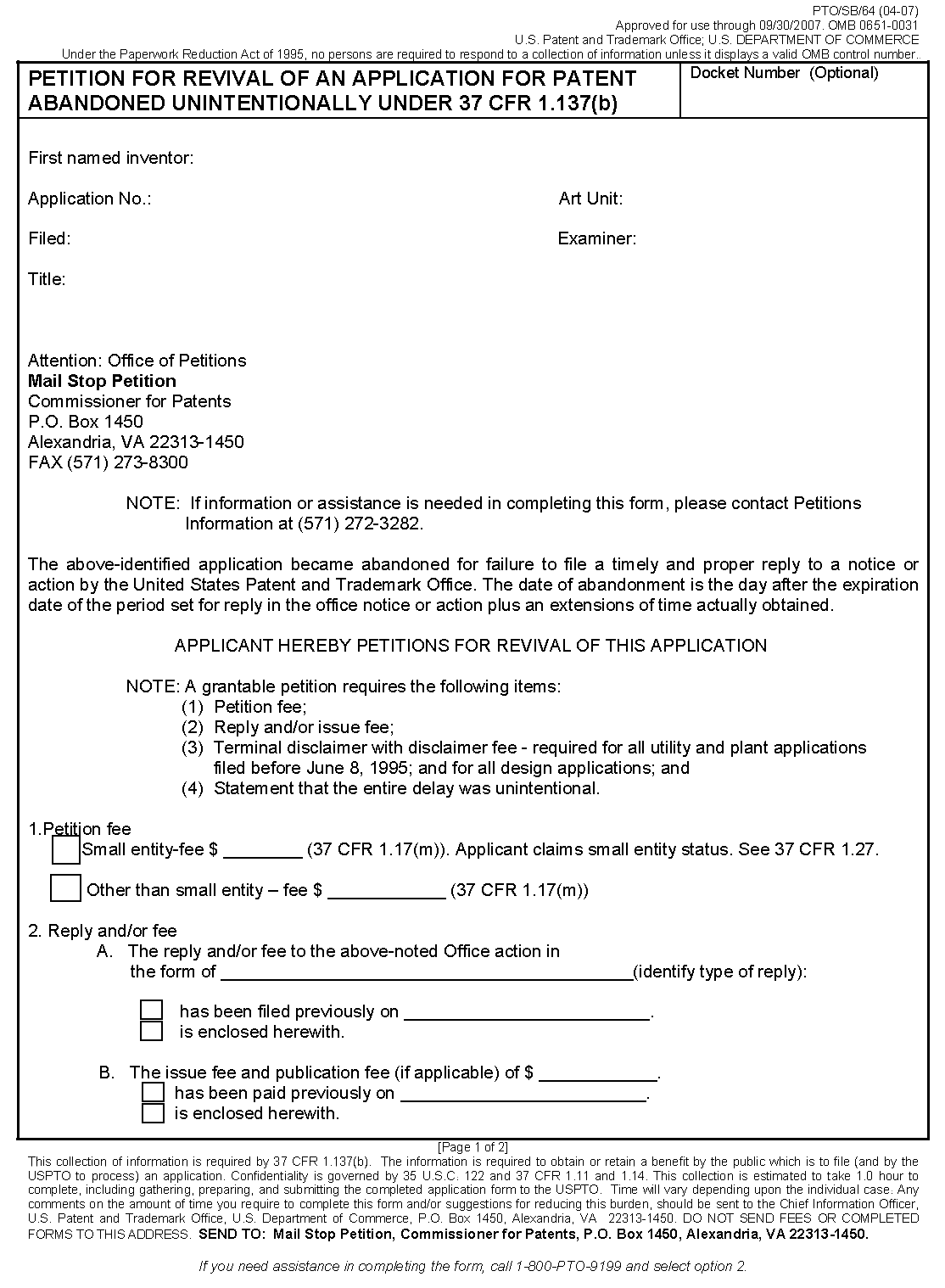
In order to expedite treatment, applicants filing a petition under 37 CFR 1.137(b) to revive an abandoned application are advised to include the statement "the entire delay in filing the required reply from the due date for the reply until the filing of a grantable petition pursuant to 37 CFR 1.137(b) was unintentional," even if applicant chooses to include a statement of the facts concerning the delay. Applicants may use the forms provided by the Office (PTO/SB/64, PTO/SB/64a, or PTO/SB/64PCT).

**>

form pto/sb/64. petition for revival of an application for patent abandoned unintentionally under 37 cfr 1.137(b)

pto/sb/64 page 2

privacy act statement

page 1 form pto/sb/64a petition for revival of an application for patent abandoned for failure to notify the office of a foreign or international filing (37 cfr 1.137(f).

page 2 form pto/sb/64a petition for revival of an application for patent abandoned for failure to notify the office of a foreign or international filing (37 cfr 1.137(f).

privacy act statement

page 1 form pto/sb/64/pct petition for revival of an international application for patent designating the u.s. abandoned intentionally under 37 cfr 1.137(b).

page 2 form pto/sb/64/pct petition for revival of an international application for patent designating the u.s. abandoned intentionally under 37 cfr 1.137(b).

privacy act statement

<

2.    Unavoidable Delay

As discussed above, "unavoidable" delay is the epitome of "unintentional" delay. Thus, an intentional delay precludes revival under 37 CFR 1.137(a) ("unavoidable" delay) or 37 CFR 1.137(b) ("unintentional" delay). See Maldague, 10 USPQ2d at 1478.

Decisions on reviving abandoned applications on the basis of "unavoidable" delay have adopted the reasonably prudent person standard in determining if the delay was unavoidable:

The word 'unavoidable' . . . is applicable to ordinary human affairs, and requires no more or greater care or diligence than is generally used and observed by prudent and careful men in relation to their most important business. It permits them in the exercise of this care to rely upon the ordinary and trustworthy agencies of mail and telegraph, worthy and reliable employees, and such other means and instrumentalities as are usually employed in such important business. If unexpectedly, or through the unforeseen fault or imperfection of these agencies and instrumentalities, there occurs a failure, it may properly be said to be unavoidable, all other conditions of promptness in its rectification being present.

In re Mattullath, 38 App. D.C. 497, 514-15 (1912)(quoting Pratt, 1887 Dec. Comm'r Pat. 31, 32-33 (1887)); see also Winkler v. Ladd, 221 F. Supp. 550, 552, 138 USPQ 666, 667-68 (D.D.C. 1963), aff'd, 143 USPQ 172 (D.C. Cir. 1963); Ex parte Henrich, 1913 Dec. Comm'r Pat. 139, 141 (1913). In addition, decisions on revival are made on a "case-by-case basis, taking all the facts and circumstances into account." Smith v. Mossinghoff, 671 F.2d 533, 538, 213 USPQ 977, 982 (D.C. Cir. 1982). Finally, a petition cannot be granted where a petitioner has failed to meet his or her burden of establishing that the delay was "unavoidable." Haines v. Quigg, 673 F. Supp. 314, 316-17, 5 USPQ2d 1130, 1131-32 (N.D. Ind. 1987).

A delay resulting from an error (e.g., a docketing error) on the part of an employee in the performance of a clerical function may provide the basis for a showing of "unavoidable" delay, provided it is shown that:

(A) the error was the cause of the delay at issue;

(B) there was in place a business routine for performing the clerical function that could reasonably be relied upon to avoid errors in its performance; and

(C) the employee was sufficiently trained and experienced with regard to the function and routine for its performance that reliance upon such employee represented the exercise of due care.

See In re Egbers, 6 USPQ2d 1869, 1872 (Comm'r Pat. 1988), rev'd on other grounds sub nom., Theodor Groz & Sohne & Ernst Bechert Nadelfabrik KG v. Quigg, 10 USPQ2d 1787 (D.D.C. 1988); In re Katrapat, 6 USPQ2d 1863, 1867-68 (Comm'r Pat. 1988). For example, where an application becomes abandoned as a consequence of a change of correspondence address (the Office action being mailed to the old, uncorrected address and failing to reach the applicant in sufficient time to permit a timely reply) an adequate showing of "unavoidable" delay will require a showing that due care was taken to adhere to the requirement for prompt notification in each concerned application of the change of address (see MPEP § 601.03), and must include an adequate showing that a timely notification of the change of address was filed in the application concerned, and in a manner reasonably calculated to call attention to the fact that it was a notification of a change of address. The following do not constitute proper notification of a change in correspondence address:

(A) the mere inclusion, in a paper filed in an application for another purpose, of an address differing from the previously provided correspondence address, without mention of the fact that an address change was being made;

(B) the notification on a paper listing plural applications as being affected (except as provided for under the Customer Number practice - see MPEP § 403); or

(C) the lack of notification, or belated notification, to the U.S. Patent and Trademark Office of the change in correspondence address.

Delay resulting from the lack of knowledge or improper application of the patent statute, rules of practice or the MPEP, however, does not constitute "unavoidable" delay. See Haines, 673 F. Supp. at 317, 5 USPQ2d at 1132; Vincent v. Mossinghoff, 230 USPQ 621, 624 (D.D.C. 1985); Smith v. Diamond, 209 USPQ 1091 (D.D.C. 1981); Potter v. Dann, 201 USPQ 574 (D.D.C. 1978); Ex parte Murray, 1891 Dec. Comm'r Pat. 130, 131 (1891). For example, as 37 CFR 1.116 and 1.135(b) are manifest that proceedings concerning an amendment after final rejection will not operate to avoid abandonment of the application in the absence of a timely and proper appeal, a delay is not "unavoidable" when the applicant simply permits the maximum extendable statutory period for reply to a final Office action to expire while awaiting a notice of allowance or other action. Likewise, as a "reasonably prudent person" would file papers or fees in compliance with 37 CFR 1.8 or 1.10 to ensure their timely filing in the USPTO, as well as preserve adequate evidence of such filing, a delay caused by an applicant's failure to file papers or fees in compliance with 37 CFR 1.8 and 1.10 does not constitute "unavoidable" delay. See Krahn, 15 USPQ2d at 1825. Finally, a delay caused by an applicant's lack of knowledge or improper application of the patent statute, rules of practice or the MPEP is not rendered "unavoidable" due to: (A) the applicant's reliance upon oral advice from USPTO employees; or (B) the USPTO's failure to advise the applicant of any deficiency in sufficient time to permit the applicant to take corrective action. See In re Sivertz, 227 USPQ 255, 256 (Comm'r Pat. 1985).

35 U.S.C. 133 and 151 each require a showing that the "delay" was "unavoidable," which requires not only a showing that the delay which resulted in the abandonment of the application was unavoidable, but also a showing of unavoidable delay until the filing of a petition to revive. See In re Application of Takao, 17 USPQ2d 1155 (Comm"r Pat. 1990). The burden of continuing the process of presenting a grantable petition in a timely manner likewise remains with the applicant until the applicant is informed that the petition is granted. Id. at 1158. Thus, an applicant seeking to revive an "unavoidably" abandoned application must cause a petition under 37 CFR 1.137(a) to be filed without delay (i.e., promptly upon becoming notified, or otherwise becoming aware, of the abandonment of the application).

An applicant who fails to file a petition under 37 CFR 1.137(a) "promptly" upon becoming notified, or otherwise becoming aware, of the abandonment of the application will not be able to show that the entire delay in filing the required reply from the due date for the reply until the filing of a grantable petition pursuant to 37 CFR 1.137(a) was unavoidable. The removal of the language in 37 CFR 1.137(a) requiring that any petition thereunder be "promptly filed after the applicant is notified of, or otherwise becomes aware of, the abandonment" should not be viewed as: (A) permitting an applicant, upon becoming notified, or otherwise becoming aware, of the abandonment of the application, to delay the filing of a petition under 37 CFR 1.137(a); or (B) changing (or modifying) the result in In re Application of S, 8 USPQ2d 1630 (Comm'r Pat. 1988), in which a petition under 37 CFR 1.137(a) was denied due to the applicant's deliberate deferral in filing a petition under 37 CFR 1.137. An applicant who deliberately chooses to delay the filing of a petition under 37 CFR 1.137 (as in Application of S, 8 USPQ2d at 1632) will not be able to show that "the entire delay in filing the required reply from the due date for the reply until the filing of a grantable petition pursuant to [ 37 CFR 1.137(a)] was unavoidable" or even make an appropriate statement that "the entire delay in filing the required reply from the due date for the reply until the filing of a grantable petition pursuant to [ 37 CFR 1.137(b)] was unintentional."

The dismissal or denial of a petition under 37 CFR 1.137(a) does not preclude an applicant from obtaining relief pursuant to 37 CFR 1.137(b) on the basis of unintentional delay (unless the decision dismissing or denying the petition under 37 CFR 1.137(a) indicates otherwise). In such an instance, a petition under 37 CFR 1.137(b) may be filed accompanied by the fee set forth in 37 CFR 1.17(m), the required reply, a statement that the entire delay in filing the required reply from the due date for the reply until the filing of a grantable petition pursuant to 37 CFR 1.137(b) was unintentional, and any terminal disclaimer required by 37 CFR 1.137(c).

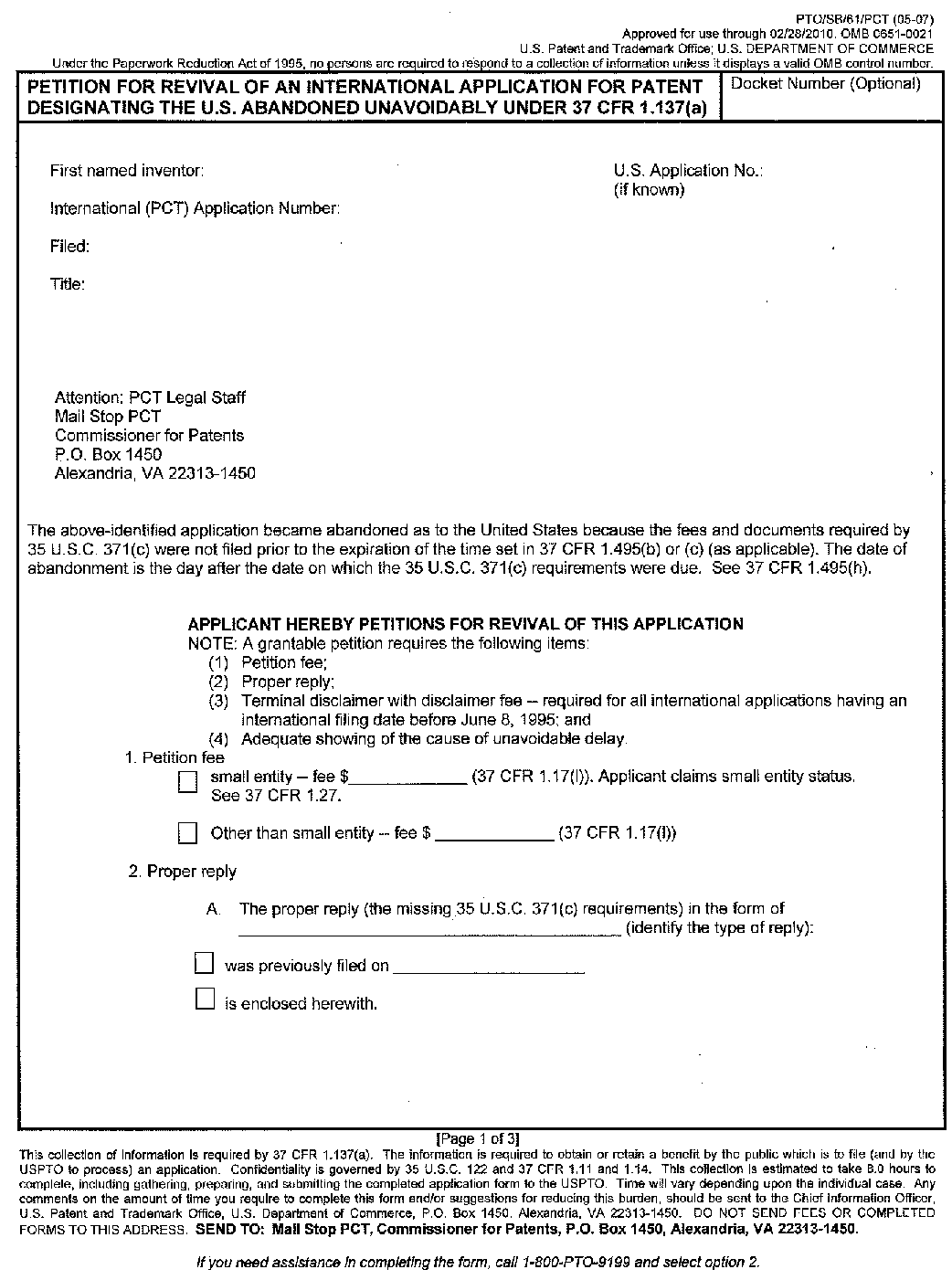
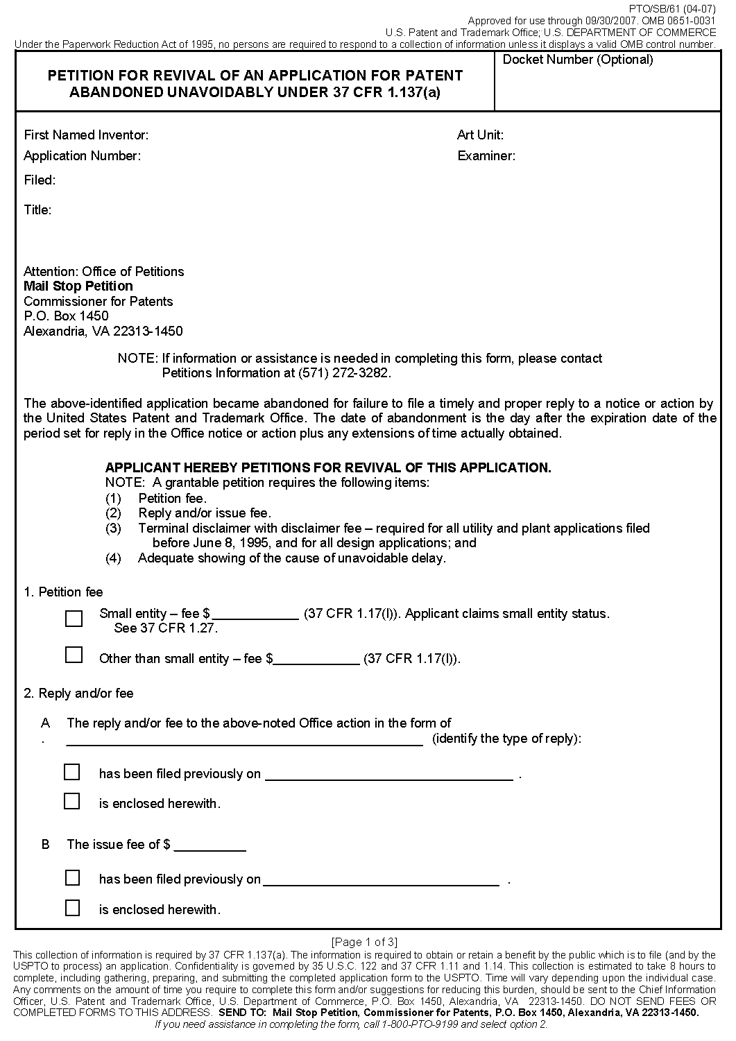
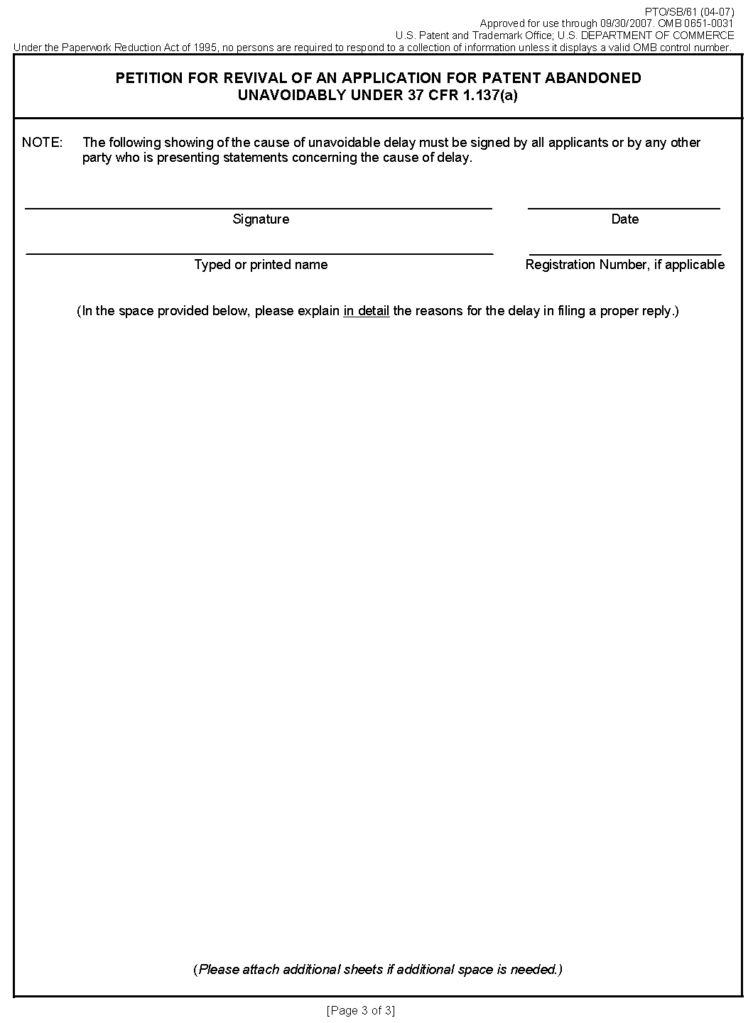
Form PTO/SB/61 or PTO/SB/61PCT may be used to file a petition for revival of an unavoidably abandoned application.

**>

<b>Form PTO/SB/61. Petition for Revival of an Application for Patent Abandoned Unavoidably under 37 CFR 1.137(a)</b>

form pto/sb/61. petition for revival of an application for patent abandoned unavoidably under 37 cfr 1.137(a) [page 2 of 3]

form pto/sb/61. petition for revival of an application for patent abandoned unavoidably under 37 cfr 1.137(a) [page 3 of 3]

privacy act statement

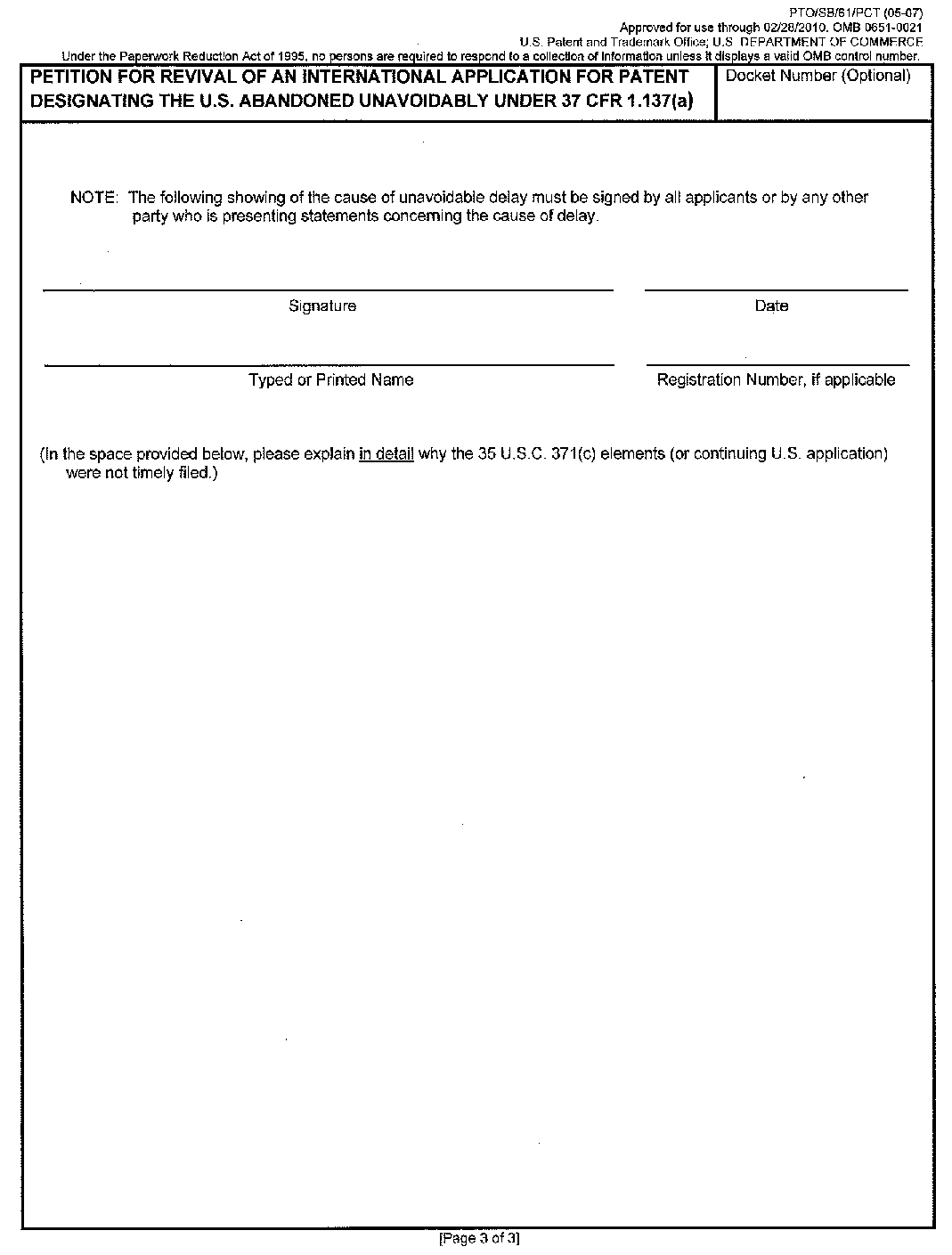
page 1 form pto/sb/61/pct petition for revival of an international application  for patent  designationg the u.s.  abandoned unavoidably under 37 cfr 1.l137(a).

page 2  form pto/sb/61/pct petition for revival of an international application  for patent  designationg the u.s.  abandoned unavoidably under 37 cfr 1.l137(a).

page 3 form pto/sb/61/pct petition for revival of an international application  for patent  designationg the u.s.  abandoned unavoidably under 37 cfr 1.l137(a).

privacy act statement

<

D.     Delay Until the Filing of a Grantable Petition

There are three periods to be considered during the evaluation of a petition under 37 CFR 1.137:

(A) the delay in reply that originally resulted in the abandonment;

(B) the delay in filing an initial petition pursuant to 37 CFR 1.137 to revive the application; and

(C) the delay in filing a grantable petition pursuant to 37 CFR 1.137 to revive the application.

As discussed above, the abandonment of an application is considered to be a deliberately chosen course of action, and the resulting delay cannot be considered as "unintentional" within the meaning of 37 CFR 1.137(b), where the applicant deliberately permits the application to become abandoned. See Application of G, 11 USPQ2d at 1380. Likewise, where the applicant deliberately chooses not to seek or persist in seeking the revival of an abandoned application, or where the applicant deliberately chooses to delay seeking the revival of an abandoned application, the resulting delay in seeking revival of the abandoned application cannot be considered as "unintentional" within the meaning of 37 CFR 1.137(b). An intentional delay resulting from a deliberate course of action chosen by the applicant is not affected by:

(A) the correctness of the applicant's (or applicant's representative's) decision to abandon the application or not to seek or persist in seeking revival of the application;

(B) the correctness or propriety of a rejection, or other objection, requirement, or decision by the Office; or

(C) the discovery of new information or evidence, or other change in circumstances subsequent to the abandonment or decision not to seek or persist in seeking revival.

Obviously, delaying the revival of an abandoned application, by a deliberately chosen course of action, until the industry or a competitor shows an interest in the invention is the antithesis of an "unavoidable" or "unintentional" delay. An intentional abandonment of an application, or an intentional delay in seeking the revival of an abandoned application, precludes a finding of unavoidable or unintentional delay pursuant to 37 CFR 1.137. See Maldague, 10 USPQ2d at 1478.

The Office does not generally question whether there has been an intentional or otherwise impermissible delay in filing an initial petition pursuant to 37 CFR 1.137(a) or (b), when such petition is filed: (A) within 3 months of the date the applicant is first notified that the application is abandoned; and (2) within 1 year of the date of abandonment of the application. Thus, an applicant seeking revival of an abandoned application is advised to file a petition pursuant to 37 CFR 1.137 within 3 months of the first notification that the application is abandoned to avoid the question of intentional delay being raised by the Office (or by third parties seeking to challenge any patent issuing from the application).

Where a petition pursuant to 37 CFR 1.137(a) or (b) is not filed within 3 months of the date the applicant is first notified that the application is abandoned, the Office may consider there to be a question as to whether the delay was unavoidable or unintentional. In such instances,

(A) the Office will require a showing as to how the delay between the date the applicant was first notified that the application was abandoned and the date a 37 CFR 1.137(a) petition was filed was "unavoidable"; or

(B) the Office may require further information as to the cause of the delay between the date the applicant was first notified that the application was abandoned and the date a 37 CFR 1.137(b) petition was filed, and how such delay was "unintentional."

To avoid delay in the consideration of the merits of a petition under 37 CFR 1.137(a) or (b) in instances in which such petition was not filed within 3 months of the date the applicant was first notified that the application was abandoned, applicants should include a showing as to how the delay between the date the applicant was first notified by the Office that the application was abandoned and the filing of a petition under 37 CFR 1.137 was (A) "unavoidable" in a petition under 37 CFR 1.137(a); or (B) "unintentional" in a petition under 37 CFR 1.137(b).

Where a petition pursuant to 37 CFR 1.137(a) is not filed within 1 year of the date of abandonment of the application (note that abandonment takes place by operation of law, rather than by the mailing of a Notice of Abandonment) the Office will require:

(A) further information as to when the applicant (or applicant's representative) first became aware of the abandonment of the application; and

(B) a showing as to how the delay in discovering the abandoned status of the application occurred despite the exercise of due care or diligence on the part of the applicant (or applicant's representative) (see Pratt, 1887 Dec. Comm'r Pat. at 32-33).

Where a petition pursuant to 37 CFR 1.137(b) is not filed within 1 year of the date of abandonment of the application (note that abandonment takes place by operation of law, rather than by the mailing of a Notice of Abandonment), the Office may require:

(A) further information as to when the applicant (or the applicant's representative) first became aware of the abandonment of the application; and

(B) a showing as to how the delay in discovering the abandoned status of the application occurred despite the exercise of due care or diligence on the part of the applicant (or applicant's representative).

To avoid delay in the consideration of the merits of a petition under 37 CFR 1.137(b) in instances in which such petition was not filed within 1 year of the date of abandonment of the application, applicants should include:

(A) the date that the applicant first became aware of the abandonment of the application; and

(B) a showing as to how the delay in discovering the abandoned status of the application occurred despite the exercise of due care or diligence on the part of the applicant.

In either instance, applicant's failure to carry the burden of proof to establish that the "entire" delay was "unavoidable" or "unintentional" may lead to the denial of a petition under 37 CFR 1.137(a) or 37 CFR 1.137(b), regardless of the circumstances that originally resulted in the abandonment of the application.

E.     Party Whose Delay Is Relevant

The question under 37 CFR 1.137 is whether the delay on the part of the party having the right or authority to reply to avoid abandonment (or not reply) was unavoidable or unintentional. When the applicant assigns the entire right, title, and interest in an invention to a third party (and thus does not retain any legal or equitable interest in the invention), the applicant's delay is irrelevant in evaluating whether the delay was unavoidable or even unintentional. See Kim v. Quigg, 718 F. Supp. 1280, 1284, 12 USPQ2d 1604, 1607-08 (E.D. Va. 1989). When an applicant assigns the application to a third party (e.g., the inventor/applicant's employer), and the third party decides not to file a reply to avoid abandonment, the applicant's actions, inactions or intentions are irrelevant under 37 CFR 1.137, unless the third party has reassigned the application to the applicant prior to the due date for the reply. Id.

Likewise, where the applicant permits a third party (whether a partial assignee, licensee, or other party) to control the prosecution of an application, the third party's decision whether or not to file a reply to avoid abandonment is binding on the applicant. See Winkler, 221 F. Supp. at 552, 138 USPQ at 667. Where an applicant enters an agreement with a third party for the third party to take control of the prosecution of an application, the applicant will be considered to have given the third party the right and authority to prosecute the application to avoid abandonment (or not prosecute), unless, by the express terms of the contract between applicant and the third party, the third party is conducting the prosecution of the application for the applicant solely in a fiduciary capacity. See Futures Technology Ltd. v. Quigg, 684 F. Supp. 430, 431, 7 USPQ2d 1588, 1589 (E.D. Va. 1988). Otherwise, the applicant will be considered to have given the third party unbridled discretion to prosecute (or not prosecute) the application to avoid abandonment, and will be bound by the actions or inactions of such third party.

F.    Burden of Proof To Establish Unavoidable or Unintentional Delay

37 CFR 1.137(a)(3) requires a showing to the satisfaction of the Director of the USPTO that the entire delay in filing the required reply from the due date for the reply until the filing of a grantable petition pursuant to 37 CFR 1.137(a) was unavoidable. Therefore, the Office will require the applicant in every petition under 37 CFR 1.137(a) to carry the burden of proof to establish that the delay from the due date for the reply until the filing of a grantable petition was unavoidable. See Haines, 673 F. Supp. at 316-17, 5 USPQ2d at 1131-32.

37 CFR 1.137(b)(3) requires that a petition under 37 CFR 1.137(b) must be accompanied by a statement that the entire delay in providing the required reply from the due date for the reply until the filing of a grantable petition pursuant to 37 CFR 1.137(b) was unintentional, but also provides that "[t]he Director may require additional information where there is a question whether the delay was unintentional." While the Office will generally require only the statement that the entire delay in providing the required reply from the due date for the reply until the filing of a grantable petition pursuant to 37 CFR 1.137(b) was unintentional, the Office may require an applicant to carry the burden of proof to establish that the delay from the due date for the reply until the filing of a grantable petition was unintentional within the meaning of 35 U.S.C. 41(a)(7) and 37 CFR 1.137(b) where there is a question whether the entire delay was unintentional. See Application of G, 11 USPQ2d at 1380.

G.    Terminal Disclaimer Requirement

37 CFR 1.137(d) requires that a petition under either 37 CFR 1.137(a) or 1.137(b) be accompanied by a terminal disclaimer (and fee), regardless of the period of abandonment, in:

(A) a design application;

(B) a nonprovisional utility application (other than a reissue application) filed before June 8, 1995; or

(C) a nonprovisional plant application (other than a reissue application) filed before June 8, 1995.

In addition, a terminal disclaimer (and fee) is also required for a utility or plant application filed on or after June 8, 1995, but before May 29, 2000, where the application became abandoned (1) during appeal, (2) during interference, or (3) while under a secrecy order. The reason being that utility and plant patents issuing on applications filed on or after June 8, 1995, but before May 29, 2000, are eligible for the patent term extension under former 35 U.S.C. 154(b) (as a result of the Uruguay Round Agreements Act (URAA)). See 35 U.S.C. 154(b) (1999); see also 37 CFR 1.701. If such an application is abandoned (1) during appeal, (2) during interference, or (3) while under a secrecy order, the patentee of a patent issuing from such an application is eligible for patent term extension for the entire period of abandonment. The requirement for a terminal disclaimer for these situations will make certain that any patent term extension obtained for the period of abandonment while the application is under appeal, interference, or a secrecy order will be dedicated to the public. For utility and plant applications filed on or after May 29, 2000, a terminal disclaimer (and fee) is not required since the period of abandonment is reduced from the patent term adjustment pursuant to 37 CFR 1.704.

The terminal disclaimer submitted in a design application must dedicate to the public a terminal part of the term of any patent granted thereon equivalent to the period of abandonment of the application. The terminal disclaimer submitted in either a utility or plant application filed before June 8, 1995 must dedicate to the public a terminal part of the term of any patent granted thereon equivalent to the lesser of: (1) the period of abandonment of the application; or (2) the period extending beyond twenty years from the date on which the application for the patent was filed in the United States or, if the application contains a specific reference to an earlier filed application(s) under 35 U.S.C. 120, 121, or 365(c), from the date on which the earliest such application was filed. The terminal disclaimer must also apply to any patent granted on any continuing utility or plant application filed before June 8, 1995, or any continuing design application, entitled under 35 U.S.C. 120, 121, or 365(c) to the benefit of the filing date of the application for which revival is sought. The terminal disclaimer requirement of 37 CFR 1.137(d) does not apply to (A) applications for which revival is sought solely for purposes of copendency with a utility or plant application filed on or after June 8, 1995, (B) lapsed patents, (C) reissue applications, or (D) reexamination proceedings.

The Office cannot determine (at the time a petition to revive is granted) the period disclaimed (i.e., which period is lesser: the period of abandonment of the application, or the period extending beyond twenty years from the date on which the application for the patent was filed in the United States or, if the application contains a specific reference to an earlier filed application(s) under 35 U.S.C. 120, 121, or 365(c), from the date on which the earliest such application was filed). Therefore, the Office will not indicate the period disclaimed under 37 CFR  1.137(d) in its decision granting a petition to revive an abandoned application.

The filing of a terminal disclaimer is not a substitute for unavoidable or unintentional delay. See Application of Takao, 17 USPQ2d at 1159. The requirement that the entire delay have been unavoidable ( 37 CFR 1.137(a)) or at least unintentional ( 37 CFR 1.137(b)) is distinct from the requirement for a terminal disclaimer. Therefore, the filing of a terminal disclaimer cannot excuse an intentional delay in filing a petition or renewed petition to revive an abandoned application. Likewise, an unavoidable or unintentional delay in filing a petition or renewed petition to revive an abandoned application will not warrant waiver of the terminal disclaimer requirement of 37 CFR 1.137(d).

In the event that an applicant considers the requirement for a terminal disclaimer to be inappropriate under the circumstances of the application at issue, the applicant should file a petition under 37 CFR 1.183 (and petition fee) to request a waiver of this requirement of 37 CFR 1.183. Such a petition may request waiver of this requirement in toto, or to the extent that such requirement exceeds the period considered by applicant as the appropriate period of disclaimer. The grant of such a petition, however, is strictly limited to situations wherein applicant has made a showing of an "extraordinary situation" in which "justice requires" the requested relief. An example of such a situation is when the abandonment of the application caused no actual delay in prosecution (e.g., an application awaiting decision by the Board of Appeals and Interferences during period of abandonment).

Forms PTO/SB/62 and PTO/SB/63 may be used when filing a terminal disclaimer in accordance with 37 CFR 1.137(d).

**>

form pto/sb/62. terminal disclaimer to accompany petition (period specified)

privacy act statement

form pto/sb/63. terminal disclaimer to accompany petition (period of disclaimer to be completed by petitions examiner)

privacy act statement

<

H.     Request for Reconsideration

37 CFR 1.137(e) requires that any request for reconsideration or review of a decision refusing to revive an abandoned application or lapsed patent must be filed within 2 months of the decision refusing to revive or within such time as set in the decision. 37 CFR 1.137(e) further provides that, unless a decision indicates otherwise, this time period for requesting reconsideration or review may be extended under the provisions of 37 CFR 1.136.

37 CFR 1.137(e) specifies a time period within which a renewed petition pursuant to 37 CFR 1.137 must be filed to be considered timely. Where an applicant files a renewed petition, request for reconsideration, or other petition seeking review of a prior decision on a petition pursuant to 37 CFR 1.137 outside the time period specified in 37 CFR 1.137(e), the Office may require, inter alia, a specific showing as to how the entire delay was "unavoidable" ( 37 CFR 1.137(a)) or "unintentional" ( 37 CFR 1.137(b)). As discussed above, a delay resulting from the applicant deliberately choosing not to persist in seeking the revival of an abandoned application cannot be considered "unavoidable" or "unintentional" within the meaning of 37 CFR 1.137, and the correctness or propriety of the decision on the prior petition pursuant to 37 CFR 1.137, the correctness of the applicant's (or the applicant"s representative"s) decision not to persist in seeking revival, the discovery of new information or evidence, or other change in circumstances subsequent to the abandonment or decision to not persist in seeking revival are immaterial to such intentional delay caused by the deliberate course of action chosen by the applicant.

I.    Provisional Applications

37 CFR 1.137 is applicable to a provisional application abandoned for failure to reply to an Office requirement. A petition under 37 CFR 1.137(a) or (b) must be accompanied by any outstanding reply to an Office requirement, since 37 CFR 1.137(a)(1) and 1.137(b)(1) permit the filing of a continuing application in lieu of the required reply only in a nonprovisional application.

35 U.S.C. 111(b)(5) provides that a provisional application shall be regarded as abandoned 12 months after its filing date and shall not be subject to revival after such 12-month period. 37 CFR 1.137(g) provides that a provisional application, abandoned for failure to timely respond to an Office requirement, may be revived pursuant to 37 CFR 1.137, however a provisional application will not be regarded as pending after twelve months from its filing date under any circumstances. Note that the pendency of a provisional application is extended to the next succeeding secular or business day if the day that is twelve months after the filing date of the provisional application falls on a Saturday, Sunday, or Federal holiday within the District of Columbia. See 35 U.S.C. 119(e)(3).

A provisional application may be abandoned prior to 12 months from its filing date for failure to reply to an Office requirement (e.g., failure to submit the filing fee and/or cover sheet). Applicant may petition to have an abandoned provisional application revived as a pending provisional application for a period of no longer than 12 months from the filing date of the provisional application where the delay was unavoidable or unintentional. It would be permissible to file a petition for revival later than 12 months from the filing date of the provisional application but only to revive the application for the 12-month period following the filing of the provisional application. Thus, even if the petition were granted to establish the pendency up to the end of the 12-month period, the provisional application would not be considered pending after 12 months from its filing date.

browse after