Notice regarding Section 508 of the Workforce Investment Act of 1998. Section 508 of the Workforce Investment Act of 1998 requires all United States Federal Agencies with websites to make them accessible to individuals with disabilities. At this time, the MPEP files below do not meet all standards for web accessibility. Until changes can be made to make them fully accessible to individuals with disabilities, the USPTO is providing access assistance via telephone. MPEP Interim Accessibility Contact: 571-272-8813.

browse before

713.04 Substance of Interview Must Be Made of Record [R-3] - 700 Examination of Applications

713.04 Substance of Interview Must Be Made of Record [R-3]

A complete written statement as to the substance of any face-to-face, video conference, electronic mail or telephone interview with regard to the merits of an application must be made of record in the application, whether or not an agreement with the examiner was reached at the interview. See 37 CFR 1.133(b), MPEP § 502.03 and §  713.01.

37 CFR 1.133 Interviews.

*****

(b) In every instance where reconsideration is requested in view of an interview with an examiner, a complete written statement of the reasons presented at the interview as warranting favorable action must be filed by the applicant. An interview does not remove the necessity for reply to Office actions as specified in §§ 1.111 and 1.135.


37 CFR 1.2 Business to be transacted in writing.

All business with the Patent and Trademark Office should be transacted in writing. The personal attendance of applicants or their attorneys or agents at the Patent and Trademark Office is unnecessary. The action of the Patent and Trademark Office will be based exclusively on the written record in the Office. No attention will be paid to any alleged oral promise, stipulation, or understanding in relation to which there is disagreement or doubt.


The action of the U.S. Patent and Trademark Office cannot be based exclusively on the written record in the Office if that record is itself incomplete through the failure to record the substance of interviews.

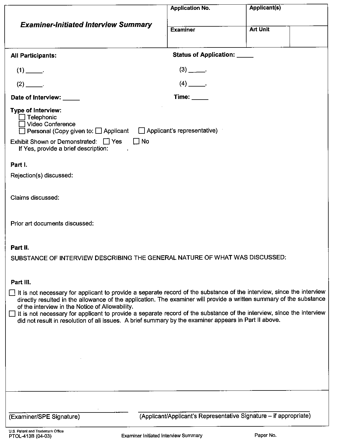
It is the responsibility of the applicant or the attorney or agent to make the substance of an interview of record in the application file, except where the interview was initiated by the examiner and the examiner indicated on the "Examiner Initiated Interview Summary" form (PTOL-413B) that the examiner will provide a written summary. It is the examiner's responsibility to see that such a record is made and to correct material inaccuracies which bear directly on the question of patentability.

Examiners must complete an Interview Summary form PTOL-413 for each interview where a matter of substance has been discussed during the interview by checking the appropriate boxes and filling in the blanks. If applicant initiated the interview, a copy of the completed "Applicant Initiated Interview Request" form, PTOL-413A (if available), should be attached to the Interview Summary form, PTOL-413 and a copy be given to the applicant (or applicant's attorney or agent), upon completion of the interview. If the examiner initiates an interview, the examiner should complete part I of the "Examiner Initiated Interview Summary" form, PTOL-413B, in advance of the interview identifying the rejections, claims and prior art documents to be discussed with applicant. The examiner should complete parts II and III of the "Examiner Initiated Interview Summary" form at the conclusion of the interview. The completed PTOL-413B form will be considered a proper interview summary record and it will not be necessary for the examiner to complete a PTOL-413 form. Discussions regarding only procedural matters, directed solely to restriction requirements for which interview recordation is otherwise provided for in MPEP § 812.01, or pointing out typographical errors in Office actions or the like, are excluded from the interview recordation procedures below. Where a complete record of the interview has been incorporated in an examiner's amendment, it will not be necessary for the examiner to complete an Interview Summary form.

The Interview Summary form PTOL 413 shall be given an appropriate paper number, placed in the right hand portion of the file, and listed on the "Contents" list on the file wrapper. For Image File Wrapper (IFW) processing, see IFW Manual. In a personal interview, the duplicate copy of the Interview Summary form along with any attachment(s) is given to the applicant (or attorney or agent) at the conclusion of the interview. In the case of a telephonic, electronic mail or video conference interview, the copy is mailed to the applicant's correspondence address either with or prior to the next official communication. In addition, a copy of the form may be faxed to applicant (or applicant's attorney or agent) at the conclusion of the interview. If additional correspondence from the examiner is not likely before an allowance or if other circumstances dictate, the Interview Summary form should be mailed promptly after the telephonic, electronic mail or video conference interview rather than with the next official communication.

The PTOL-413 form provides for recordation of the following information:

(A) application number;

(B) name of applicant;

(C) name of examiner;

(D) date of interview;

(E) type of interview (personal, telephonic, electronic mail or video conference);

(F) name of participant(s) (applicant, attorney, or agent, etc.);

(G) an indication whether or not an exhibit was shown or a demonstration conducted;

(H) an identification of the claims discussed;

(I) an identification of the specific prior art discussed;

(J) an indication whether an agreement was reached and if so, a description of the general nature of the agreement (may be by attachment of a copy of amendments or claims agreed as being allowable). (Agreements as to allowability are tentative and do not restrict further action by the examiner to the contrary.);

(K) the signature of the examiner who conducted the interview;

(L) names of other U.S. Patent and Trademark Office personnel present.

The PTOL-413 form also contains a statement reminding the applicant of his or her responsibility to record the substance of the interview.

It is desirable that the examiner orally remind the applicant of his or her obligation to record the substance of the interview in each case unless the interview was initiated by the examiner and the examiner indicated on the "Examiner Initiated Interview Summary" form, PTOL-413B, that the examiner will provide a written summary. Where an interview initiated by the applicant results in the allowance of the application, the applicant is advised to file a written record of the substance of the interview as soon as possible to prevent any possible delays in the issuance of a patent. Where an examiner initiated interview directly results in the allowance of the application, the examiner may check the appropriate box on the "Examiner Initiated Interview Summary" form, PTOL-413B, to indicate that the examiner will provide a written record of the substance of the interview with the Notice of Allowability.

It should be noted, however, that the Interview Summary form will not be considered a complete and proper recordation of the interview unless it includes, or is supplemented by the applicant, or the examiner to include, all of the applicable items required below concerning the substance of the interview.

The complete and proper recordation of the substance of any interview should include at least the following applicable items:

(A) a brief description of the nature of any exhibit shown or any demonstration conducted;

(B) identification of the claims discussed;

(C) identification of specific prior art discussed;

(D) identification of the principal proposed amendments of a substantive nature discussed, unless these are already described on the Interview Summary form completed by the examiner;

(E) the general thrust of the principal arguments of the applicant and the examiner should also be identified, even where the interview is initiated by the examiner. The identification of arguments need not be lengthy or elaborate. A verbatim or highly detailed description of the arguments is not required. The identification of the arguments is sufficient if the general nature or thrust of the principal arguments can be understood in the context of the application file. Of course, the applicant may desire to emphasize and fully describe those arguments which he or she feels were or might be persuasive to the examiner;

(F) a general indication of any other pertinent matters discussed;

(G) if appropriate, the general results or outcome of the interview; and

(H) in the case of an interview via electronic mail, a paper copy of the Internet e-mail contents MUST be made and placed in the patent application file as required by the Federal Records Act in the same manner as an Examiner Interview Summary Form, PTOL 413, is entered.

Examiners are expected to carefully review the applicant's record of the substance of an interview. If the record is not complete or accurate, the examiner may give the applicant a 1-month time period to complete the reply under 37 CFR 1.135(c) where the record of the substance of the interview is in a reply to a nonfinal Office action.

¶ 7.84 Amendment Is Non-Responsive to Interview

The reply filed on [1] is not fully responsive to the prior Office action because it fails to include a complete or accurate record of the substance of the [2] interview. [3] Since the above-mentioned reply appears to be bona fide, applicant is given a TIME PERIOD of ONE (1) MONTH or THIRTY (30) DAYS from the mailing date of this notice, whichever is longer, within which to supply the omission or correction in order to avoid abandonment. EXTENSIONS OF THIS TIME PERIOD MAY BE GRANTED UNDER 37 CFR 1.136(a).

Examiner Note

1. In bracket 2, insert the date of the interview.

2. In bracket 3, explain the deficiencies.

EXAMINER TO CHECK FOR ACCURACY

Applicant's summary of what took place at the interview should be carefully checked to determine the accuracy of any argument or statement attributed to the examiner during the interview. If there is an inaccuracy and it bears directly on the question of patentability, it should be pointed out in the next Office letter. If the claims are allowable for other reasons of record, the examiner should send a letter setting forth his or her version of the statement attributed to him or her.

If the record is complete and accurate, the examiner should place the indication "Interview record OK" on the paper recording the substance of the interview along with the date and the examiner's initials. For Image File Wrapper (IFW) processing, see IFW Manual.

**>

form ptol-413b examiner initiated interview summary

<

browse after