Go to MPEP - Table of Contents
Notice regarding Section 508 of the Workforce Investment Act of 1998. Section 508 of the Workforce Investment Act of 1998 requires all United States Federal Agencies with websites to make them accessible to individuals with disabilities. At this time, the MPEP files below do not meet all standards for web accessibility. Until changes can be made to make them fully accessible to individuals with disabilities, the USPTO is providing access assistance via telephone. MPEP Interim Accessibility Contact: 571-272-8813.
1302.03 Notice of Allowability [R-5] - 1300 Allowance and Issue
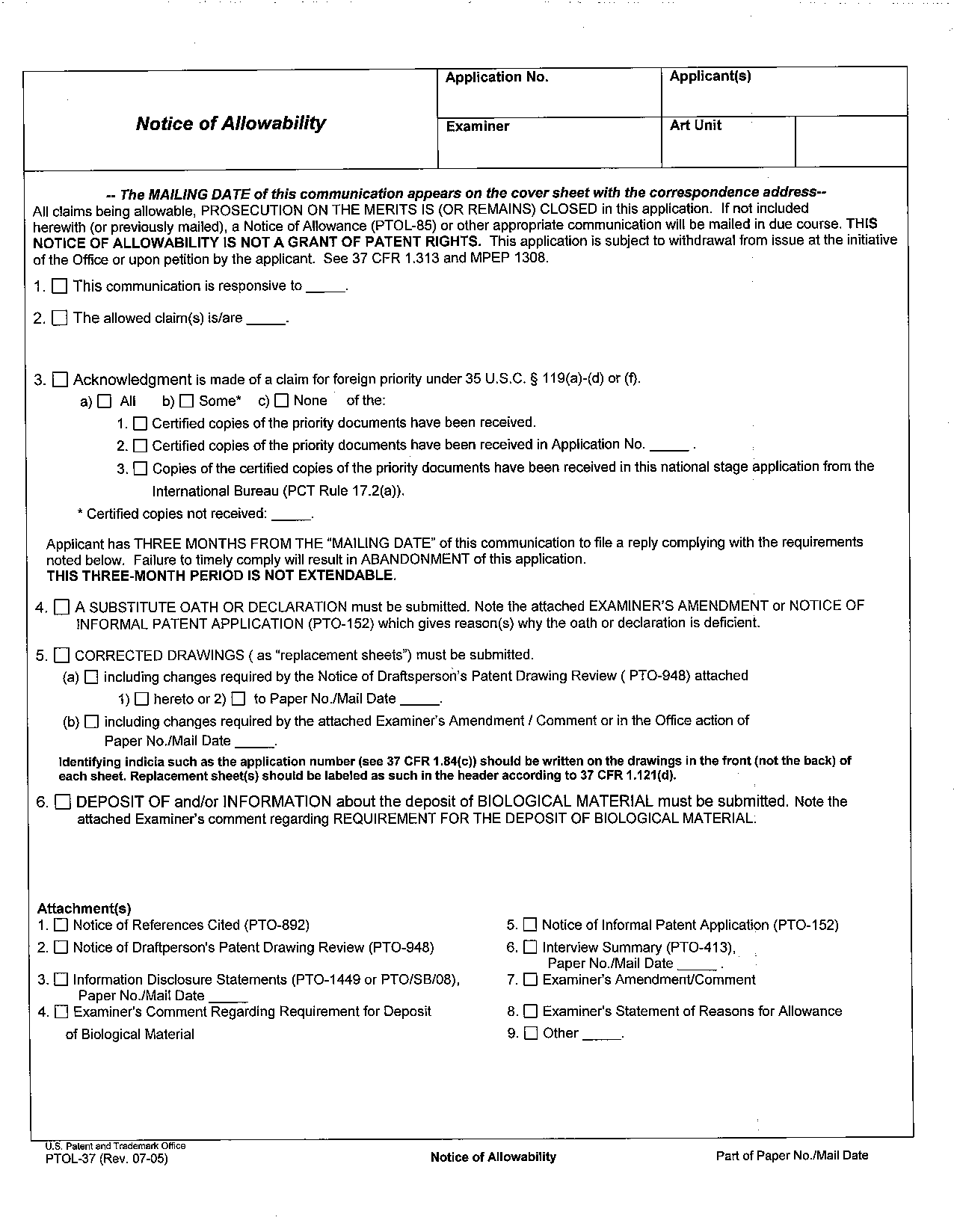
1302.03 Notice of Allowability [R-5]
A Notice of Allowability form PTOL-37 is used whenever an application has been placed in condition for allowance. The date of any communication and/or interview which resulted in the allowance should be included in the notice.
In all instances, both before and after final rejection, in which an application is placed in condition for allowance, applicant should be notified promptly of allowability of the claims by a Notice of Allowability PTOL-37. ** Prompt notice to applicant is important because it may avoid an unnecessary appeal and act as a safeguard against a holding of abandonment.
Go to MPEP - Table of Contents