Notice regarding Section 508 of the Workforce Investment Act of 1998. Section 508 of the Workforce Investment Act of 1998 requires all United States Federal Agencies with websites to make them accessible to individuals with disabilities. At this time, the MPEP files below do not meet all standards for web accessibility. Until changes can be made to make them fully accessible to individuals with disabilities, the USPTO is providing access assistance via telephone. MPEP Interim Accessibility Contact: 571-272-8813.

browse before

1844.01 Preparing the International Search Report (Form PCT/ISA/210) [R-6] - 1800 Patent Cooperation Treaty

1844.01 Preparing the International Search Report (Form PCT/ISA/210) [R-6]

**

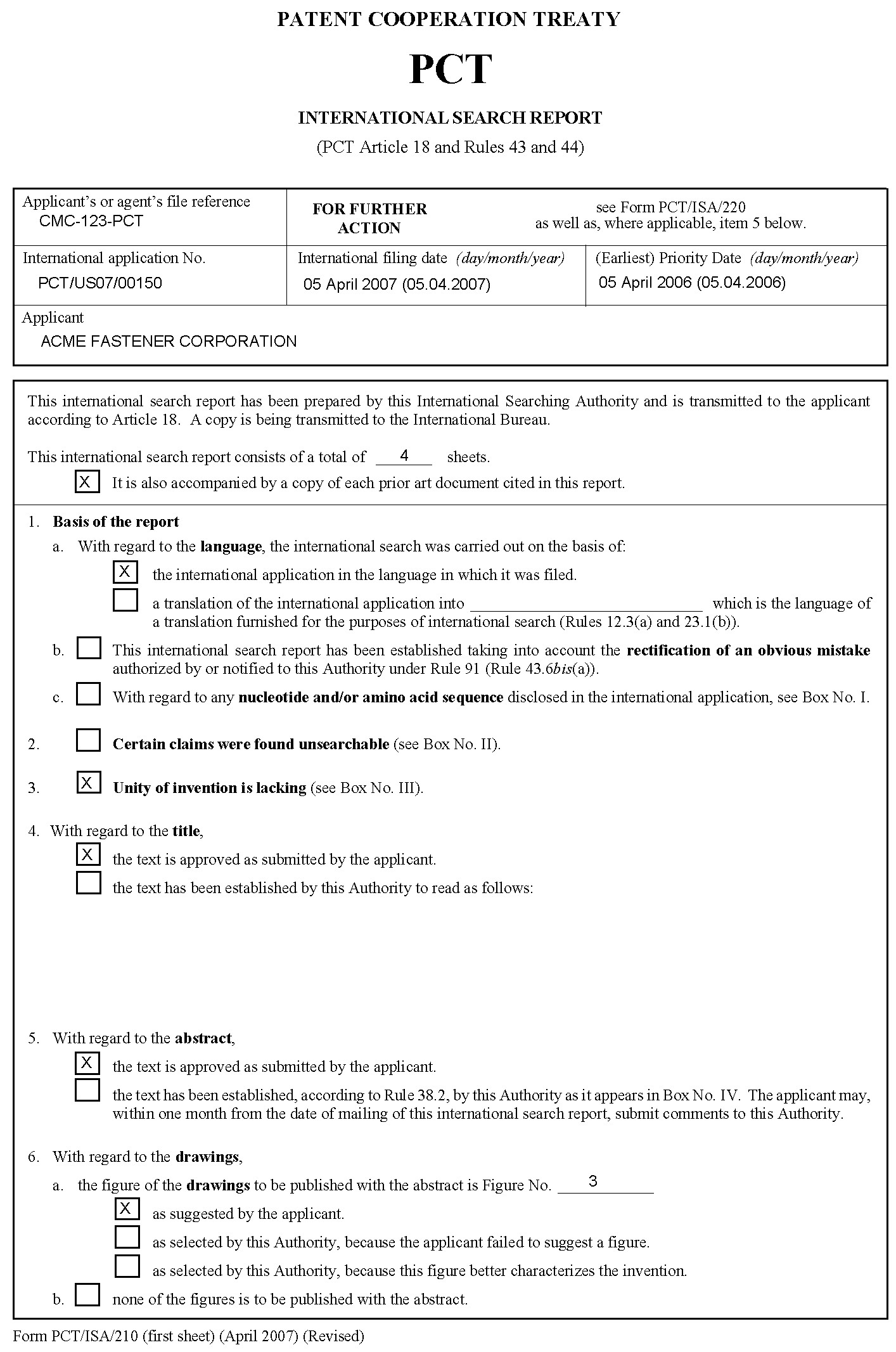
The first sheet of the international search report indicates the total number of sheets in the report. The correct number is entered, not including sheets that have not been filled-in (blank sheets). The number of sheets only includes the number of sheets from Form PCT/ISA/210.

**>

I.    BASIS OF THE REPORT

A.    Box 1a - Language

In most circumstances, the first box under box 1a is checked indicating that the search is carried out on the basis of the international application in the language in which it was filed. Alternatively, the second box under box 1a is checked and an indication of English made when the search is on the basis of a translation of the international application into English.

B.    Box 1b - Rectification of an Obvious Mistake

Where the application includes the rectification of an obvious mistake authorized by or notified to the International Searching Authority under PCT Rule 91, box 1b of the first sheet is checked. The authorization or notification will generally be indicated on a Notification of Decision Concerning Request for Rectification (Form PCT/RO/109 or PCT/ISA/217) (see MPEP § 1836).

C.    Box 1c And Box No. I - Nucleotide and/or Amino Acid Sequence Listings and Related Tables<

Where the application discloses any nucleotide and/or amino acid sequence, box *>1c< of the first sheet is checked and Box No. I (appearing on "continuation of first sheet (1)") indicates the format (that is, whether in paper copy or *>electronic< form) and status (that is whether filed with the international application or later, for purposes of search) of the sequence listing, and any related tables.

**>

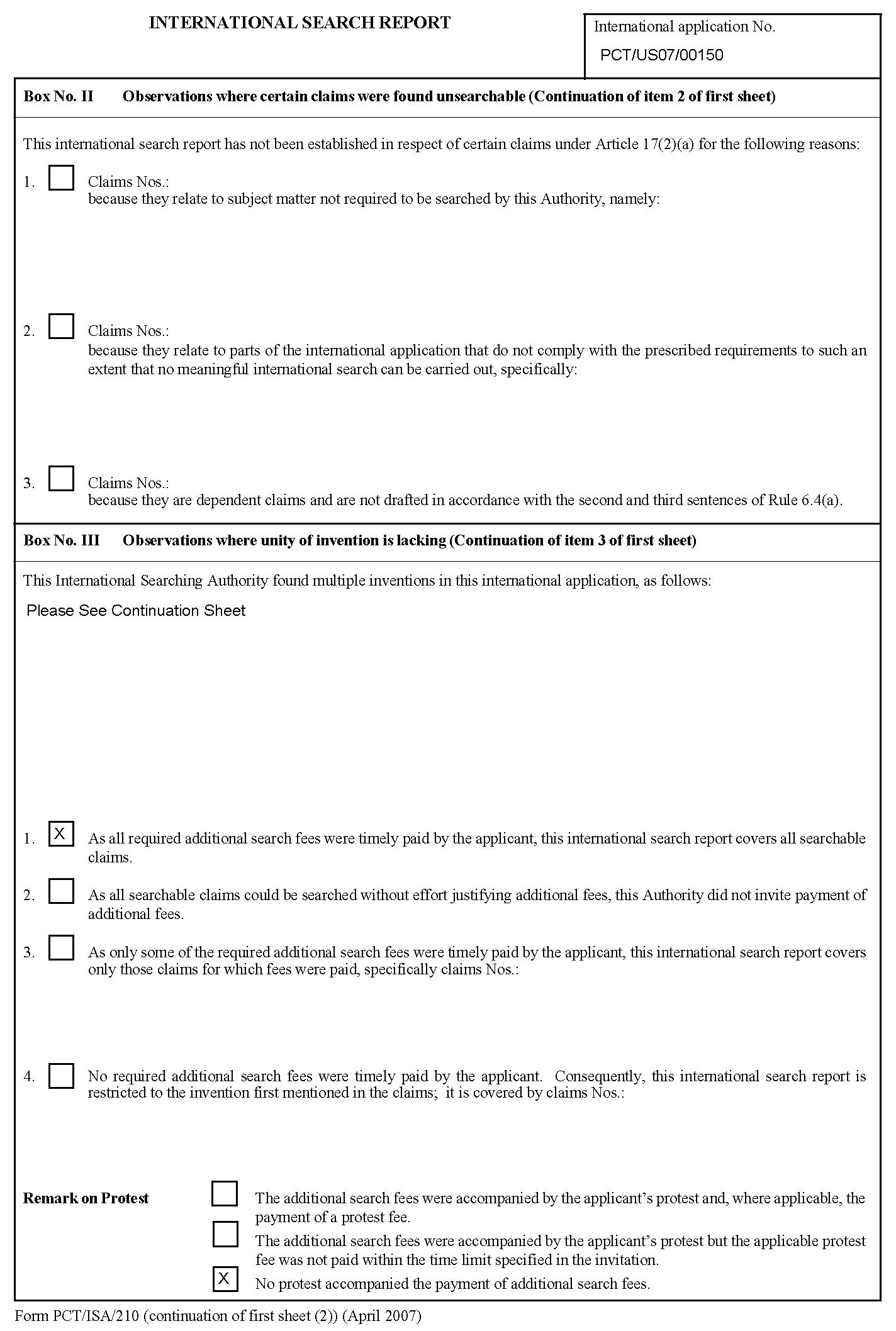
II.    < BOX 2 AND BOX NO. II - LIMITATION< OF THE SUBJECT OF THE INTERNATIONAL SEARCH

The report indicates whether **>any claims are unsearchable for any of the reasons indicated below. If any such limitations of the subject of the search are applied, the claims in respect of which a search has not been carried out are identified and the reasons for this are indicated. The three categories where such limitations< may arise are:

(A) claims drawn to subject matter not required to be searched by the International Searching Authority (see MPEP § 1843.02);

(B) claims in respect of which a meaningful search cannot be carried out (see MPEP § 1843.03); >and<

(C) multiple dependent claims which do not comply with PCT Rule 6.4(a) (see MPEP § 1843.03)>.<

**

Where claims are not searched for any of the reasons identified in (A)-(C) above, box 2 of the first sheet of the international search report is checked. In addition, Box No. II of the international search report (on "continuation of first sheet (2)") is completed, giving the details.

>

III.    BOX 3 AND BOX NO. III - LACK OF UNITY OF THE CLAIMED INVENTION

The report indicates whether the search is limited due to a lack of unity of invention. If unity is lacking, the claims in respect of which a search has not been carried out are identified and the reasons for this are indicated.<

Where lack of unity has been found (see MPEP §  1850), box 3 of the first sheet of the international search report is checked. In addition, Box No. III of the international search report (on "continuation of first sheet (2)") is completed, irrespective of whether an invitation to pay additional search fees has issued. The search report indicates the separate inventions claimed in the application, whether additional search fees were requested and paid, and which claims were searched. It also indicates whether any additional search fees were accompanied by a protest.

>An explanation of the separate inventions is entered in the appropriate area in Box No. III (see MPEP § 1850).

If applicant paid all the required additional search fees for additional inventions, the examiner should check item 1 under Box No. III indicating that the international search report covers all searchable claims.

If the examiner did not invite payment of additional search fees, item 2 should be checked under Box. No. III and the international search report will cover all searchable claims.

If, in response to a lack of unity of invention, applicant paid only some of the required additional search fees for additional inventions, the examiner should check item 3 under Box No. III and indicate the claims for which fees were paid and therefore, covered by the international search.

If the international search report is based on the invention first mentioned in the claims, the examiner should check item 4 under Box No. III and indicate the claims limited to the first mentioned invention that are covered by the international search report.

Regarding the three boxes indicating a Remark on Protest, the first box would be checked if the payment of any additional search fees is accompanied by a protest. The second box would not be checked since the ISA/US does not require a protest fee. The third box would be checked if the payment of any additional search fees is not accompanied by a protest. See MPEP § 1850, subsection X., for a discussion of protest procedure.<

IV.    TITLE, ABSTRACT, AND FIGURE FOR PUBLICATION

The international application must contain an abstract and a title. The examiner considers the abstract (together with the title of the invention and the figure of the drawings to be published with the abstract) in relation to the requirements of the Regulations under the PCT. The examiner indicates approval or amendment of *>the title of the invention,< the text of the abstract, ** and the selection of the figure that is to accompany the abstract in items 4 to 6 of the first sheet of the international search report.

A.    >Box 4 - <Title

PCT RULE 4
The Request (Contents)

*****

PCT RULE 4.3.
Title of the Invention

The title of the invention shall be short (preferably from two to seven words when in English or translated into English) and precise.

*****


PCT RULE 37
Missing or Defective Title

PCT RULE 37.1.
Lack of Title

If the international application does not contain a title and the receiving Office has notified the International Searching Authority that it has invited the applicant to correct such defect, the International Searching Authority shall proceed with the international search unless and until it receives notification that the said application is considered withdrawn.

PCT RULE 37.2.
Establishment of Title

If the international application does not contain a title and the International Searching Authority has not received a notification from the receiving Office to the effect that the applicant has been invited to furnish a title, or if the said Authority finds that the title does not comply with Rule 4.3, it shall itself establish a title. Such title shall be established in the language in which the international application is to be published or, if a translation into another language was transmitted under Rule 23.1(b) and the International Searching Authority so wishes, in the language of that translation.


The title must be short and precise (preferably from two to seven words in English or when translated into English). Furthermore, the title should clearly and concisely state the technical designation of the invention. In this regard the following should be taken into account:

(A) personal names or trade names or similar terms of non-technical nature which do not serve to identify the invention should not be used;

(B) the abbreviation "etc.," being vague, should not be used and should be replaced by an indication of what it is intended to cover;

(C) titles such as "Method," "Apparatus," "Chemical Compounds" alone or similar vague titles do not clearly state the technical designation of the invention and should not be used.

In general, the examiner is required to draft a new title if the applicant failed to provide a title or if the title is deficient because it does not comply with the requirements of PCT Rule 4.3. The examiner is not required to gain the applicant's approval of the new title established by the examiner.

>On the first sheet of the international search report, the examiner indicates the title text is approved (the first box under Box 4) or has been established (the second box under Box 4).<

B.    >Box 5 and Box 6 - < Abstract and Figure for Publication

PCT RULE 8
The Abstract

PCT RULE 8.1.
Contents and Form of the Abstract

(a) The abstract shall consist of the following:

(i) a summary of the disclosure as contained in the description, the claims, and any drawings; the summary shall indicate the technical field to which the invention pertains and shall be drafted in a way which allows the clear understanding of the technical problem, the gist of the solution of that problem through the invention, and the principal use or uses of the invention;

(ii) where applicable, the chemical formula which, among all the formulae contained in the international application, best characterizes the invention.

(b) The abstract shall be as concise as the disclosure permits (preferably 50 to 150 words if it is in English or when translated into English).

(c) The abstract shall not contain statements on the alleged merits or value of the claimed invention or on its speculative application.

(d) Each main technical feature mentioned in the abstract and illustrated by a drawing in the international application shall be followed by a reference sign, placed between parentheses.

PCT RULE 8.2.
Figure

(a) If the applicant fails to make the indication referred to in Rule 3.3(a)(iii), or if the International Searching Authority finds that a figure or figures other than that figure or those figures suggested by the applicant would, among all the figures of all the drawings, better characterize the invention, it shall, subject to paragraph (b), indicate the figure or figures which should accompany the abstract when the latter is published by the International Bureau. In such case, the abstract shall be accompanied by the figure or figures so indicated by the International Searching Authority. Otherwise, the abstract shall, subject to paragraph (b), be accompanied by the figure or figures suggested by the applicant.

(b) If the International Searching Authority finds that none of the figures of the drawings is useful for the understanding of the abstract, it shall notify the International Bureau accordingly. In such case, the abstract, when published by the International Bureau, shall not be accompanied by any figure of the drawings even where the applicant has made a suggestion under Rule 3.3(a)(iii).


PCT RULE 38
Missing or Defective Abstract

PCT RULE 38.1.
Lack of Abstract

If the international application does not contain an abstract and the receiving Office has notified the International Searching Authority that it has invited the applicant to correct such defect, the International Searching Authority shall proceed with the international search unless and until it receives notification that the said application is considered withdrawn.

PCT RULE 38.2.
Establishment of Abstract

**>If the international application does not contain an abstract and the International Searching Authority has not received a notification from the receiving Office to the effect that the applicant has been invited to furnish an abstract, or if the said Authority finds that the abstract does not comply with Rule 8, it shall itself establish an abstract. Such abstract shall be established in the language in which the international application is to be published or, if a translation into another language was transmitted under Rule 23.1(b) and the International Searching Authority so wishes, in the language of that translation.

PCT RULE 38.3.
Modification of Abstract

The applicant may, until the expiration of one month from the date of mailing of the international search report, submit to the International Searching Authority:

(i) proposed modifications of the abstract; or

(ii) where the abstract has been established by the Authority, proposed modifications of, or comments on, that abstract, or both modifications and comments; and the Authority shall decide whether to modify the abstract accordingly. Where the Authority modifies the abstract, it shall notify the modification to the International Bureau. <


In general, the examiner will have to establish a new abstract if the applicant did not provide an abstract or if the abstract does not comply with PCT Rule 8. In determining the definitive contents of the abstract, or establishing the text of the abstract anew where it is missing, the examiner should take into consideration the fact that the abstract is merely for use as technical information and, in particular, must not be used for the purpose of interpreting the scope of the protection sought. The abstract constitutes an efficient instrument for the purpose of assisting the scientist, engineer, or researcher in searching in the particular technical field and should in particular make it possible to assess whether there is need for consulting the international application itself. WIPO guidelines for the preparation of abstracts are found in WIPO Standard ST.12/A, which is available from WIPO's web site (www.wipo.int/scit/en/standards/standards.htm).

In considering the adequacy of the applicant's abstract and figure, because of practical difficulties experienced by the International Bureau with publication, examiners should have particular regard to the following:

(A) It is important that the abstract be as concise as the disclosure permits (preferably 50 to 150 words if it is in English or when translated into English). Within this constraint the abstract must provide a summary of the technical information about the disclosure as contained in the description, claims, and drawings. It should be drafted so as to serve as an efficient scanning tool for searching purposes in the art.

(B) Phrases should not be used which can be implied, such as "This disclosure concerns," "The invention defined by this disclosure," and "This invention relates to."

(C) Only one figure should normally be selected unless this would lead to inadequate disclosure. The inclusion of more than two figures should not be considered except in extreme circumstances where necessary information cannot be otherwise conveyed. Where none of the figures is considered useful for the understanding of the invention (even where the applicant has suggested a figure), no figure should be selected.

(D) Abstracts may be incomprehensible if the numerals of the selected figure(s) do not correspond with those in the abstract. Thus, this should be avoided.

(E) An absence of reference numbers on the figures must be accepted as the examiner has no mechanism to initiate their addition.

(F) Each main technical feature mentioned in the abstract and illustrated by a drawing should be followed by a reference sign, placed between parentheses.

**>In box 5 of the first sheet of the international search report, the examiner indicates approval of the text of the abstract by checking the first box. When the text of the abstract is missing or defective the second box is checked and the new abstract is established by entering the text of the new abstract. The defect or reason for establishing the new abstract should be indicated, e.g., too long or missing.

The applicant may submit modifications of the abstract until the expiration of one month from the date of mailing of the search report.< If the examiner establishes a new abstract, the applicant **>may propose modifications of, and/or comment on,< the new abstract after it has been established in the international search report. The applicant is allowed one month from the date of mailing of the international search report to respond to the examiner's abstract in the report. If the applicant does comment, the examiner takes the applicant's comments into consideration. It is not necessary for the examiner to reply to the applicant's comments even if adverse. If the examiner decides to amend the abstract established in the international search report >based on the proposed modifications and/or comment,< the International Bureau and the applicant are notified using Form PCT/ISA/205. See PCT Rule *> 38.3< and Administrative Instructions Section 515.

When indicating the figure to be published, the applicant's suggestion is found in Box >No.< IX of the request **>(Form PCT/RO/101)<. Where none of the figures is considered useful for the understanding of the abstract, this is indicated at the appropriate box (**>box 6b< of the first sheet of Form PCT/ISA/210). When no drawings accompany the application, none of the boxes are checked. >Otherwise, box 6a is checked and the reason for selecting the figure to be published is indicated, i.e., as suggested by the applicant, as selected by the examiner because either the applicant failed to suggest a figure in Box No. IX of Form PCT/RO/101 or the figure better characterizes the invention.< It is not recommended to select more than one figure; however, if it is necessary to do so then the wording of the form should be changed to reflect the change from single case to plural case. For example, "figure" is changed to "figures", "is" to "are" and **>" No. " to "Nos."<.

V.    >BOX A -< CLASSIFICATION OF SUBJECT MATTER

The International Searching Authority assigns obligatory International Patent Classification (IPC) symbols in accordance with the rules as set forth in the Guide to the IPC and in the IPC itself (using the edition of the IPC in force at the time), whereby the technical subject of the invention of the application is identified. The International Searching Authority then records the International Patent Classification >and U.S. Classification< in Box A of the second sheet of the international search report. The IPC Guide can be accessed via the Patent Examiner's Toolkit under Classification Tools or via WIPO's web site (www.wipo.int).

VI.    >BOX B -< RECORDING THE SEARCH

The examiner records the search history in Box B of the second sheet of the international search report. In recording the search history of the international search, the examiner lists the classification identification of the fields searched. Examiners are also encouraged to record the search history in sufficient detail to allow examiners of national stage applications to fully interpret and rely upon the international search. This includes recording the details of any patent and non-patent literature searches as well as searches conducted on the Internet.

Where the international search report is entirely or partly based on a previous search made for an application relating to a similar subject, the previous application number and the relevant search history consulted for this previous search is, where appropriate, identified as having been consulted for the international application in question, except in those instances where the details of an earlier search cannot be ascertained, or whenever it is impractical to record the full details of the earlier search. In the later case, a summary of the earlier search should be included. Where the previous application has been published, this information is recorded in the international search report.

VII.    >BOX C -< DOCUMENTS CONSIDERED TO BE RELEVANT

The completion of Box C of the second sheet of the international search report can be considered as having three components. These are: (A) the citation category; (B) the citation of the document together with identification of the relevant passages where appropriate; and (C) the identification of relevant claim numbers. The citation of multiple documents showing the same inventive elements should be kept to a minimum. Further, when citing a document, the examiner should clearly indicate which portions of the document are most relevant.

A.    Citation Category

Documents which are cited are given a category indication by way of an alphabetic character, details of which are given in Administrative Instructions Sections 505 and 507 and below. The categories for citations are also explained under the "documents considered to be relevant" section of the report. A category should always be indicated for each document cited. Where needed, combinations of different categories are possible.

1.    Particularly Relevant Documents

Where a document cited in the international search report is particularly relevant, it is indicated by the letters "X" or "Y". Category "X" is applicable where a document is such that when taken alone, a claimed invention cannot be considered novel or where a document is such that when considered in light of common general knowledge, a claimed invention cannot be considered to involve an inventive step. Category "Y" is applicable where a document is such that a claimed invention cannot be considered to involve an inventive step when the document is combined with one or more other documents of the same category, such combination being obvious to a person skilled in the art.

2.    Documents Defining the State of the Art and Not Prejudicing Novelty or Inventive Step

Where a document cited in the international search report represents state of the art and is not prejudicial to the novelty or inventive step of the claimed invention, it is indicated by the letter "A".

3.    Documents Which Refer to a Non-Written Disclosure

Where a document cited in the international search report refers to a non-written disclosure referred to in PCT Rule 33.1(b), the letter "O" is entered. Examples of such disclosures include conference proceedings. The document category "O" is always accompanied by a symbol indicating the relevance of the document, for example: "O,X", "O,Y", or "O,A".

4.    Intermediate Documents

Documents published on dates falling between the date of filing of the application being searched and the date of priority claimed, or the earliest priority if there is more than one (see PCT Article 2(xi)(b)), are denoted by the letter "P". The letter "P" is also given to a document published on the very day of the earliest date of priority of the patent application under consideration. The document category "P" is always accompanied by a symbol indicating the relevance of the document, for example: "P,X", "P,Y", or "P,A".

5.    Documents Relating to the Theory or Principle Underlying the Invention

Where any document cited in the search report is a document that may be useful for a better understanding of the principle or theory underlying the invention, or is cited to show that the reasoning or the facts underlying the invention are incorrect, it is indicated by the letter "T".

6.    Potentially Conflicting Patent Documents

Any patent document bearing a filing or priority date earlier than the filing date of the application searched (not the priority date) but published on or later than that date and the content of which would constitute prior art relevant to novelty (PCT Article 33(2)) is indicated by the letter "E" (see Administrative Instructions Section 507(b) and PCT Rule 33.1(c)).

7.    Documents Cited in the Application

When the search report cites documents already mentioned in the description of the patent application for which the search is carried out, such documents may be identified on the search report by the wording "cited in the application" under the cited document.

8.    Documents Cited for Other Reasons

Where in the search report any document is cited for reasons other than those referred to in the foregoing paragraphs (in particular as evidence), for example:

(A) a document which may throw doubt on a priority claim (Article 4(C)(4) of the Paris Convention), or

(B) a document cited to establish the publication date of another citation,

the document is indicated by the letter "L". Brief reasons for citing the document should be given. Documents of this type need not be indicated as relevant to any particular claims. However, where the evidence that they provide relates only to certain claims (for example the "L" document cited in the search report may invalidate the priority in respect of certain claims and not others), then the citation of the document should refer to those claims.

**>

B.    < Citation of the Documents

Identification of any document should be made according to WIPO Standard ST.14 (see Administrative Instructions Section 503). For "A" citations it is not necessary to indicate the relevant claims unless there is good reason to do so; for example where there is a clear lack of unity a priori (see MPEP § 1850) and the citation is relevant only to a particular claim or group of claims or when the claims meet the criteria of novelty, inventive step, and industrial applicability under PCT Article 33(2) to (4) and the "A" category citations represent the most relevant prior art. The box on the second sheet of Form PCT/ISA/210 entitled "Further documents listed are in the continuation of Box C" is checked if a continuation sheet is used to list additional documents that will not fit in the space provided in Box C.

>

C.    Relationship Between Documents and Claims

Each citation should include a reference to the claims to which it relates (see Administrative Instructions Section 508). If necessary, various relevant parts of the document cited should each be related to the claims in like manner (with the exception of "L" documents and "A" documents). It is also possible for the same document to represent a different category with respect to different claims. For example:

WO1990/001867 A (WIDEGREN LARS (SE)) 8 March 1990 (08-03-1990), figures 1 and 2

X 1

Y 2-5

A 6-10

The above example means that Figures 1 and 2 of the cited document disclose subject matter which prejudices the novelty or inventive step of claim 1, which prejudices the inventive step of claims 2-5 when combined with another document cited in the search report, and which represents non-prejudicial state of the art for the subject matter of claims 6-10.<

VIII.    FINALIZATION OF THE SEARCH REPORT

The identification of the International Searching Authority which established the international search report and the date of actual completion, that is, the date on which the report was drawn up are indicated at the bottom of the second sheet of the international search report. This information is generated automatically by the OACS software when preparing the international search report. The international search report will be accompanied by a transmittal letter (Form PCT/ISA/220) indicating the date the search report was mailed to the applicant. ** See MPEP § *> 1845.02<.

Pursuant to PCT Rule 43.8, the international search report must indicate the name of the officer of the International Searching Authority responsible for the report, i.e., the "authorized officer." An "authorized officer" is the person who actually performed the search work and prepared the search report, or another person who was responsible for supervising the search. See Administrative Instructions Section 514. Thus, an examiner need not have signatory authority in order to be named as an authorized officer on the search report. However, the "file copy" of the search report must be signed by an examiner having at least partial signatory authority.

The international search report should be mailed within 3 months of receipt of the search copy or within 9 months from the priority date, whichever is later.

**>

figure 1842_1.reformed pct system

figure 1842_1.reformed pct system

figure 1842_1.reformed pct system

figure 1842_1.reformed pct system

<

browse after