Notice regarding Section 508 of the Workforce Investment Act of 1998. Section 508 of the Workforce Investment Act of 1998 requires all United States Federal Agencies with websites to make them accessible to individuals with disabilities. At this time, the MPEP files below do not meet all standards for web accessibility. Until changes can be made to make them fully accessible to individuals with disabilities, the USPTO is providing access assistance via telephone. MPEP Interim Accessibility Contact: 571-272-8813.

browse before

1879 Preparation of the International Preliminary Examination Report [R-7] - 1800 Patent Cooperation Treaty

1879 Preparation of the International Preliminary Examination Report [R-7]

PCT ARTICLE 35
The International Preliminary Examination Report

(1) The international preliminary examination report shall be established within the prescribed time limit and in the prescribed form.

(2) The international preliminary examination report shall not contain any statement on the question whether the claimed invention is or seems to be patentable or unpatentable according to any national law. It shall state, subject to the provisions of paragraph (3), in relation to each claim, whether the claim appears to satisfy the criteria of novelty, inventive step (non-obviousness), and industrial applicability, as defined for the purposes of the international preliminary examination in Article 33(1) to (4). The statement shall be accompanied by the citation of the documents believed to support the stated conclusion with such explanations as the circumstances of the case may require. The statement shall also be accompanied by such other observation as the Regulations provide for.

(3)

(a) If, at the time of establishing the international preliminary examination report, the International Preliminary Examining Authority considers that any of the situations referred to in Article 34(4)(a) exists, that report shall state this opinion and the reasons therefor. It shall not contain any statement as provided in paragraph (2).

(b) If a situation under Article 34(4)(b) is found to exist, the international preliminary examination report shall, in relation to the claims in question, contain the statement as provided in subparagraph (a), whereas, in relation to the other claims, it shall contain the statement as provided in paragraph (2).


PCT Administrative Instructions Section 604
Guidelines for Explanations Contained in the International Preliminary Examination Report

(a) Explanations under Rule 70.8 shall clearly point out to which of the three criteria of novelty, inventive step (non-obviousness) and industrial applicability referred to in Article 35(2), taken separately, any cited document is applicable and shall clearly describe, with reference to the cited documents, the reasons supporting the conclusion that any of the said criteria is or is not satisfied.

(b) Explanations under Article 35(2) shall be concise and preferably in the form of short sentences.


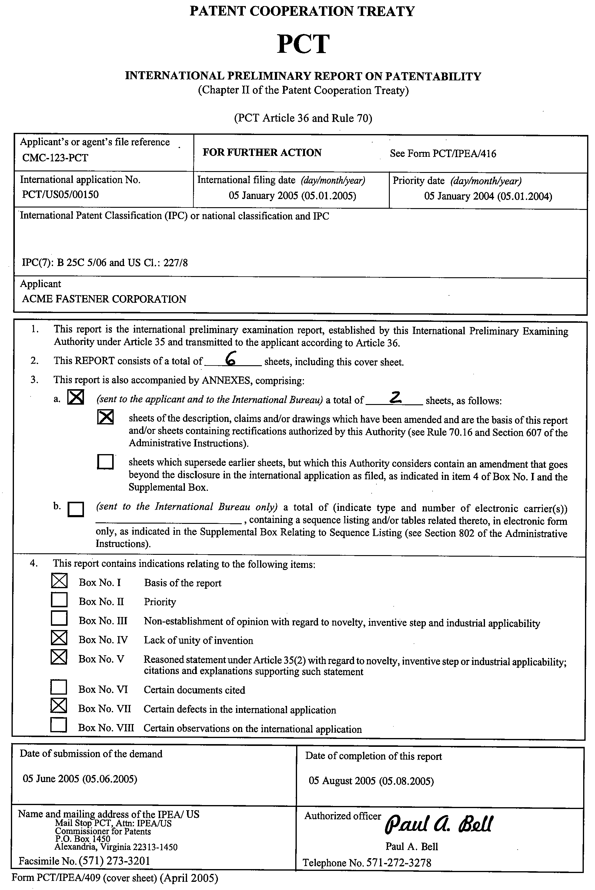
The international preliminary examination report is established on Form PCT/IPEA/409.

The international preliminary examination report must be established within:

For applications having an international filing date on or after January 1, 2004:

(A) 28 months from the priority date; or

(B) 6 months from the time provided under PCT Rule 69.1 for the start of international preliminary examination; or

(C) 6 months from the date of receipt by the IPEA of the translation furnished under PCT Rule 55.2 whichever expires last, as provided in PCT Rule 69.2.

For applications having an international filing date before January 1, 2004:

(A) 28 months from the priority date; or

(B) 8 months from the date of payment of the fees referred to in PCT Rules 57.1 and 58.1(a); or

(C) 8 months from the date of receipt by the International Preliminary Examining Authority of the translation furnished under PCT Rule 55.2, whichever expires last, as provided in PCT Rule 69.2.

To meet the 28-month date for establishing the report, Office practice is to complete internal processing by 27 months from the priority date in order to provide adequate time for reviewing, final processing and mailing. Thus, under normal circumstances, the applicant receives the report, at the latest, 2 months before national processing at the elected Offices may start. This ensures that he/she has time to consider whether, and in which elected Offices, he/she wants to enter the national stage and to take the necessary action.

The international preliminary examination report contains, among other things, a statement (in the form of simple "yes" or "no"), in relation to each claim which has been examined, on whether the claim appears to satisfy the criteria of novelty, inventive step (non-obviousness) and industrial applicability. The statement is, where appropriate, accompanied by the citation of relevant documents together with concise explanations pointing out the criteria to which the cited documents are applicable and giving reasons for the International Preliminary Examining Authority's conclusions. Where applicable, the report also includes remarks relating to the question of unity of invention.

The international preliminary examination report identifies the basis on which it is established, that is, whether, and if so, which amendments have been taken into account. Replacement sheets containing amendments under PCT Article 19 and/or Article 34 which have been taken into account are attached as "annexes" to the international preliminary examination report. Amendments under PCT Article 19 which have been considered as reversed by an amendment under PCT Article 34 are not annexed to the report; neither are the letters which accompany replacement sheets.

Superseded amendments are not normally included. However, if a first replacement sheet is acceptable and a second replacement sheet for the same numbered sheet contains subject matter that goes beyond the original disclosure of the application as filed, the second replacement sheet supersedes the first replacement sheet, but both the first and second replacement sheets shall be attached to the international preliminary examination report. In this case, the superseded replacement sheets are to be marked as provided in Administrative Instructions Section 602. The international preliminary examination report may not express a view on the patentability of the invention. PCT Article 35(2) expressly states that "the international preliminary examination report shall not contain any statement on the question whether the claimed invention is or seems to be patentable or unpatentable according to any national law."

I.    CLASSIFICATION OF SUBJECT MATTER

The classification of the subject matter shall be either (1) that given by the International Searching Authority under PCT Rule 43.3, if the examiner agrees with such classification, or (2) shall be that which the examiner considers to be correct, if the examiner does not agree with that classification. Both the International Patent Classification (IPC) and the U.S. classification should be given. This classification is placed on the cover sheet of the report.

II.    BOX NO. I. BASIS OF REPORT

When completing Box No. I, item 1, of Form PCT/IPEA/409, the examiner must indicate whether or not the report has been established on the basis of the international application in the language in which it was filed. If a translation was furnished for the purpose of the search, the publication or the examination, this must be indicated. The international preliminary examination report will be established on the basis of any amendments, rectifications, priority and/or unity of invention holdings and shall answer the questions concerning novelty, inventive step, and industrial applicability for each of the claims under examination.

In completing Form PCT/IPEA/409, the examiner should first indicate any amendments and/or rectifications of obvious mistakes taken into account in establishing the international preliminary examination report. The amendments and/or rectifications should be indicated by references to the dates on which the amendments and/or rectifications were filed.

For the purpose of completing Box No. I, item 2, sheets of the description and drawings filed during Chapter I proceedings and stamped "SUBSTITUTE SHEET (RULE 26)", "RECTIFIED SHEET (RULE 91)", and "INCORPORATED BY REFERENCE (RULE 20.6)" are considered to be originally filed pages/sheets and should be listed as originally filed pages/sheets. Only those amendments or rectifications to the description and drawings filed on the date of Demand or after the filing of a Demand should be listed as later filed pages/sheets.

Sheets of claims filed during the Chapter I proceedings and stamped "SUBSTITUTE SHEET (RULE 26)", "RECTIFIED SHEET (RULE 91)", and "INCORPORATED BY REFERENCE (RULE 20.6)" are also considered to be originally filed claims and should be listed as originally filed claims. However, amended sheets of claims filed under Article 19 in response to the international search report are to be indicated as claims as amended under Article 19. Applicant's submission of a timely amendment to the claims alleged to be under Article 19 is accepted under Article 34 (not Article 19) unless the International Bureau has indicated the amendments were accepted under Article 19. Only those amendments, or rectifications to the claims filed on the date of Demand or after the filing of a Demand should be listed as later filed claims.

Further, if the report has been based on a nucleotide and/or amino acid sequence disclosed and necessary to the claimed invention, the examiner must indicate the type of material (i.e., a sequence listing and/or tables related thereto), the format of the material (i.e., on paper or in electronic form) and the time of filing/furnishing (i.e., contained in the international application as filed, filed together with the international application in electronic form, or furnished subsequently to the IPEA). If more than one version or copy of the sequence listing and/or tables relating thereto is filed, the examiner must indicate whether the applicant has provided the required statement indicating that the information in the subsequent or additional copies are identical to that in the application as filed or does not go beyond the application as filed.

Amendments and/or rectifications filed but not taken into account in the establishment of the report (e.g., an amendment not taken into account because the amendment went beyond the disclosure of the international application as filed or a rectification that is not considered to be merely a correction of an obvious mistake) are then indicated separately. The replacement sheets (but not replacement sheets superseded by later replacement sheets) or letters cancelling sheets under PCT Rule 66.8(a) are included as an annex to the report.

With respect to Box No. I, item 3, the examiner must indicate whether any amendments have resulted in the cancellation of pages of the description, claims, drawings, sequence listings or any tables related to sequence listings.

With respect to Box No. I, item 4, the examiner must indicate whether any amendments to the description, claims, drawings, sequence listings or any tables related to sequence listing that are annexed to the report, have been treated as if they had not been made because they go beyond the disclosure as filed.

With respect to Box No. I, item 5, the examiner must indicate whether the report is established taking into account the rectification of an obvious mistake under PCT Rule 91.

The final report package when sent to the International Application Processing Division for mailing must include copies of all amendments and rectifications entered and any cover letters to those amendments.

III.    BOX NO. II. PRIORITY

Box No. II of Form PCT/IPEA/409 is to inform applicant of the establishment of the report as if the priority claim made in the international application had not been made. This may occur where:

(A) the IPEA requested, but was not furnished, a copy of the earlier application whose priority is claimed (PCT Rule 66.7(a)), or

(B) applicant failed to timely comply with an invitation to furnish a translation of the earlier app lication (PCT Rule 66.7(b)), or

(C) the priority claim is found invalid or all claims are directed to inventions which were not described and enabled by the earlier application (PCT Rule 64.1), or

(D) the priority claim has been withdrawn.

IV.    BOX NO. III. NON-ESTABLISHMENT OF OPINION WITH REGARD TO NOVELTY, INVENTIVE STEP OR INDUSTRIAL APPLICABILITY

Indications that a report has not been established on the questions of novelty, inventive step or industrial applicability, either as to some claims or as to all claims, are given in Box No. III on the Report. The examiner must specify that the report has not been established because:

(A) the application relates to subject matter which does not require international preliminary examination;

(B) the description, claims or drawings are so unclear that no meaningful opinion could be formed;

(C) the claims are so inadequately supported by the description that no meaningful opinion could be formed.

Where the report has not been established in relation to certain claims only, the claims affected must be specified.

If the nucleotide and/or amino acid sequence listing, and/or tables related thereto, do not comply with the standard in Annex C of the Administrative Instructions, the examiner must indicate the reason for non-compliance.

V.    BOX NO. IV. LACK OF UNITY OF INVENTION

If the applicant has paid additional fees or has restricted the claims in response to an invitation to do so or if the applicant has failed to respond to the invitation to pay additional fees or restrict the claims, the international preliminary examination report shall so indicate. The examiner should indicate whether:

(A) the claims have been restricted;

(B) additional fees have been paid without protest;

(C) additional fees have been paid by the applicant under protest;

(D) the applicant has neither restricted the claims nor paid additional fees;

(E) the examiner was of the opinion that the international application did not comply with the requirement of unity of invention but decided not to issue an invitation to restrict the claims or pay additional fees.

In addition, if the examiner is examining less than all the claims, the examiner must indicate which parts of the international application were, and which parts were not, the subject of international preliminary examination.

In the case where additional fees were paid under protest, the text of the protest, together with the decision thereon, must be annexed to the report by International Application Processing Division IPEA personnel if the applicant has so requested.

Where an indication has been given under item (E) above, the examiner must also specify the reasons for which the international application was not considered as complying with the requirement of unity of invention.

VI.    BOX NO. V. REASONED STATEMENT UNDER AR­TICLE 35(2) WITH REGARD TO NOVELTY, INVENTIVE STEP, AND INDUSTRIAL APPLICABILITY; AND CITATIONS AND EXPLANATIONS SUPPORTING SUCH STATEMENT

The examiner must indicate whether each claim appears to satisfy the criteria of novelty, inventive step (nonobviousness), and industrial applicability. The determination or statement should be made on each of the three criteria taken separately. The determination as to any criteria should be negative if the criteria as to the particular claim is not satisfied. The examiner should always cite documents believed to support any negative determination as to novelty and inventive step. Any negative holding as to lack of industrial applicability must be fully explained. See the *>further< discussion in MPEP § 1845.01 relating to Box No. V of Form PCT/ISA/237. The citation of documents should be in accordance with Administrative Instructions Sections 503 and 611. The procedure is the same as the procedure for search report citations. Explanations should clearly indicate, with reference to the cited documents, the reasons supporting the conclusions that any of the said criteria is or is not satisfied, unless the statement is positive and the reason for citing any document is easy to understand when consulting the document. If only certain passages of the cited documents are relevant, the examiner should identify them, for example, by indicating the page, column, or the lines where such passages appear. Preferably, a reasoned statement should be provided in all instances.

VII.    BOX NO. VI. CERTAIN DOCUMENTS CITED

If the examiner has discovered, or the international search report has cited, a relevant document which refers to a nonwritten disclosure, and the document was only published on or after the relevant date of the international application, the examiner must indicate on the international preliminary examination report:

(A) the date on which the document was made available to the public;

(B) the date on which the non-written public disclosure occurred.

>The examiner should also identify any published application or patent< which would constitute prior art for purposes of PCT Article 33(2) and (3) had it been published prior to the relevant date (PCT Rule 64.1) but was filed prior to, or claims the priority of an earlier application which had been filed prior to, the relevant date (PCT Rule 64.3). For each such published application or patent the following indications should be provided:

(A) its date of publication;

(B) its filing date, and its claimed priority date (if any).

The Report may also indicate that, in the opinion of the International Preliminary Examining Authority, the priority date of the document cited has not been validly claimed ( PCT Rule 70.10).

Guidelines explaining to the examiner the manner of indicating certain special categories of documents as well as the manner of indicating the claims to which the documents cited in such report are relevant are set forth in Administrative Instructions Sections 507(c), (d), and (e) and 508.

VIII.    BOX NO. VII. CERTAIN DEFECTS IN THE INTERNATIONAL APPLICATION

If, in the opinion of the examiner, defects existing in the form or contents of the international application have not been suitably solved at the prescribed time limit for establishing the international preliminary examination report, the examiner may include this opinion in the report, and if included, must also indicate the reasons therefor. See the further discussion in MPEP § 1845.01 relating to Box No. VII of Form PCT/ISA/237.

IX.    BOX NO. VIII. CERTAIN OBSERVATIONS ON THE INTERNATIONAL APPLICATION

If, in the opinion of the examiner, the clarity of claims, the description, and the drawings, or the question as to whether the claims are fully supported by the description have not been suitably solved at the prescribed time limit for establishing the international preliminary examination report, the examiner may include this opinion in the report, and if included, must also indicate the reasons therefor. See the further discussion in MPEP § 1845.01 relating to Box No. VIII of Form PCT/ISA/237.

X.    FINALIZATION OF THE INTERNATIONAL PRELIMINARY EXAMINATION REPORT

The date on which the report was completed and the name and mailing address of the International Preliminary Examining Authority are indicated on the cover sheet (Form PCT/IPEA/416) of the international preliminary examination report. This information is generated automatically by the OACS software when preparing the report. In addition, the date on which the demand for international preliminary examination was submitted and the name of the authorized officer responsible for the report must be indicated. Pursuant to Administrative Instructions Section 612, an "authorized officer" is the person who actually performed the examination work and prepared the international preliminary examination report or another person who was responsible for supervising the examination. Thus, an examiner need not have signatory authority in order to be named as an authorized officer on the examination report. However, the "file copy" of the international preliminary examination report must be signed by a primary examiner.

form pct/ipea/409. international preliminary examination report

form pct/ipea/409 (box i)

form pct/ipea/409 (box ii)

form pct/ipea/409 (box iii)

form pct/ipea/409 (box iv)

form pct/ipea/409 (box v)

form pct/ipea/409 (supplemental box)

browse after