Notice regarding Section 508 of the Workforce Investment Act of 1998. Section 508 of the Workforce Investment Act of 1998 requires all United States Federal Agencies with websites to make them accessible to individuals with disabilities. At this time, the MPEP files below do not meet all standards for web accessibility. Until changes can be made to make them fully accessible to individuals with disabilities, the USPTO is providing access assistance via telephone. MPEP Interim Accessibility Contact: 571-272-8813.

browse before

1893.03(a) How To Identify That an Application Is a U.S. National Stage Application [R-5] - 1800 Patent Cooperation Treaty

1893.03(a) How To Identify That an Application Is a U.S. National Stage Application [R-5]

Applicant's initially deposited application must be clearly identified as a submission to enter the national stage under 35 U.S.C. 371. See 37 CFR 1.495(g). Otherwise, unless the submission is clearly identified as a submission pursuant to 35 U.S.C. 154(d)(4) for the purpose of obtaining provisional rights, the application will be treated as an application filed under 35 U.S.C. 111(a). See 37 CFR 1.417.

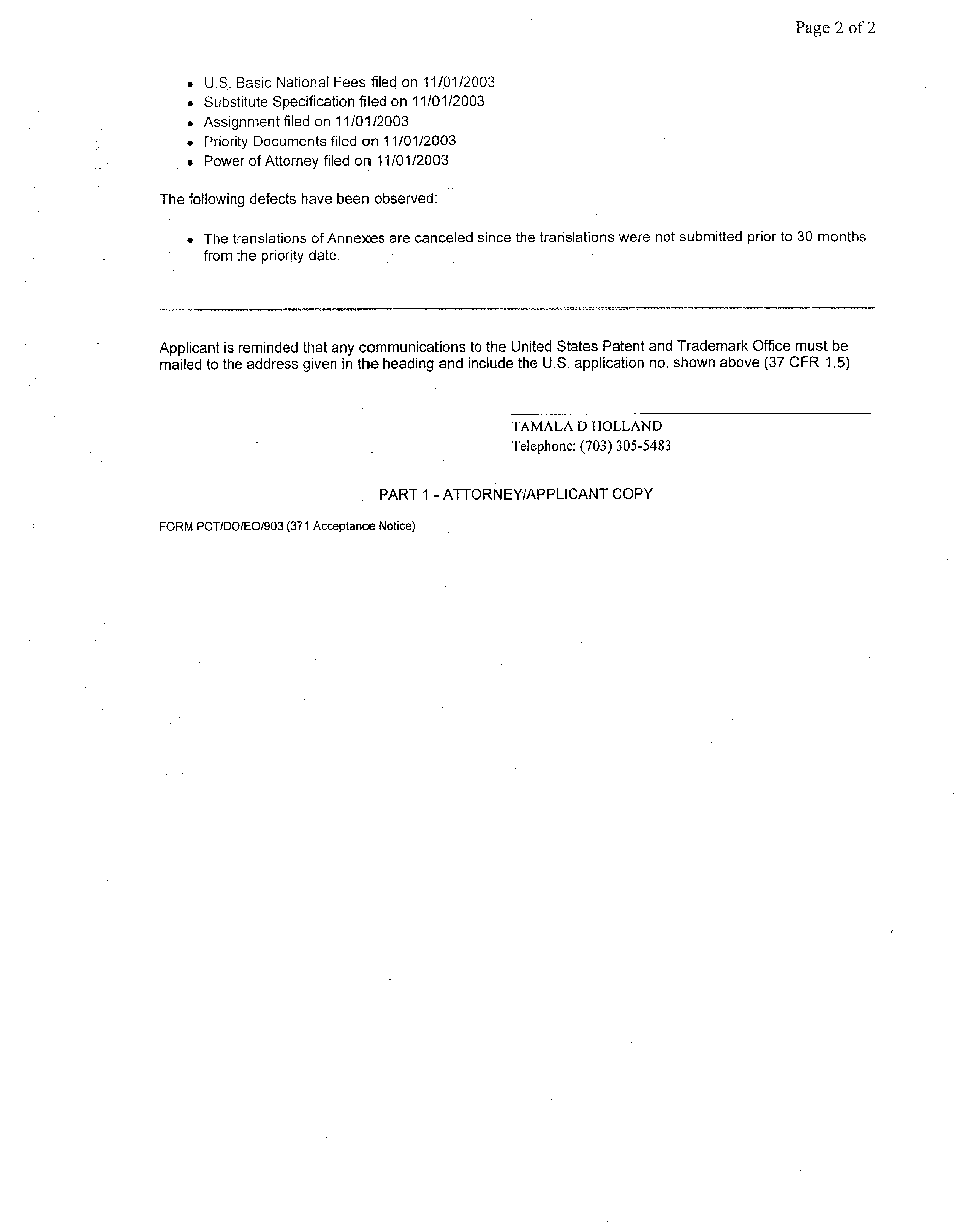
That is, if applicant wishes the application to be >treated as a filing< under 35 U.S.C. 111(a), applicant's originally filed application papers need indicate simply that the papers are for a new U.S. patent application. If, however, applicant is submitting papers for entry into the national stage of a PCT application, or to establish an effective date for provisional rights resulting from the filing of a PCT application under 35 U.S.C. 154(d), applicant must so state. >Applicants seeking to enter the national stage are advised to use transmittal Form PTO-1390, as this form clearly indicates that the submission is under 35 U.S.C. 371.< Examination of the original application papers occurs in either the Office of Initial Patent Examination or in the National Stage Processing Division of the Office of PCT Operations where it is determined whether applicant has asked that the papers be treated as a submission to enter the national stage under 35 U.S.C. 371. If the application is accepted for entry into the national stage, the National Stage Processing Division will mail Form PCT/DO/EO/903 indicating acceptance of the application as a national stage submission under 35 U.S.C. 371**>. PALM records will indicate that the application is a national stage entry of the PCT application (e.g., under "Continuity Data"). Initially, the examiner should check the application file for the presence of Form PCT/DO/EO/903 and review the PALM Bib-data sheet for an indication that the application is a national stage entry (371) of the PCT application.<

If neither of these indications are present the application may, in the absence of evidence to the contrary (there is an indication in the originally filed application papers that processing as a national stage is desired), be treated as a filing under 35 U.S.C. 111(a). Thus, if both indications are present, the application should be treated as a submission under 35 U.S.C. 371. **>The examiner is advised to consult the Office of PCT Legal Administration if he or she has any question as to whether the application should be treated under 35 U.S.C. 111(a) or 371.<

In accordance with the notice at 1077 O.G. 13 (14 April 1987), if the applicant files a U.S. national application and clearly identifies in the accompanying oath or declaration the specification to which it is directed by referring to a particular international application by PCT Application Number and International Filing Date and that he or she is executing the declaration as, and seeking a U.S. Patent as, the inventor of the invention described in the identified international application, then the application will be accepted as submitted under 35 U.S.C. 371. Merely claiming priority of an international (PCT) application in an oath or declaration will not serve to indicate a submission under 35 U.S.C. 371. Also, if there are any conflicting instructions as to whether the filing is under 35 U.S.C. 111(a) or 35 U.S.C. 371, the application will be accepted as filed under 35 U.S.C. 111(a). A conflicting instruction will be present, for example, where applicant includes in the initial submission under 35 U.S.C. 371, a "Utility Patent Application Transmittal" (Form PTO/SB/05) or includes a benefit claim under 35 U.S.C. 120 to the international application. Applications that have been processed under 35 U.S.C. 371 and later found by the examiner to contain conflicting instructions should be forwarded to the Office of PCT Legal Administration for resolution.

<b>Form PCT Filed Under 35 USC 371</b>

<b>Form PCT/DO/DO/903. </b>Notification Of Acceptance Of Application Under 35 U.s.c. 371 And 37 Cfr 1.494 Or 1.495

browse after